题目列表(包括答案和解析)

 0  77434  77442  77448  77452  77458  77460  77464  77470  77472  77478  77484  77488  77490  77494  77500  77502  77508  77512  77514  77518  77520  77524  77526  77528  77529  77530  77532  77533  77534  77536  77538  77542  77544  77548  77550  77554  77560  77562  77568  77572  77574  77578  77584  77590  77592  77598  77602  77604  77610  77614  77620  77628  447348 

2.联想与解题

 例5 a,b为两个不相等且都不为零的数,同时有

a2+pa+q=0,b2+pb+q=0,

 

 分析与解 由已知条件,联想到方程根的定义,a,b是方程x2+px+q=0的两个根,由a,b不为零,有

  

 例6 如果(z-x)2-4(x-y)(y-z)=0,求证:

x+z=2y.

 分析与解 (1)展开原式有

z2-2xz+x2-4(xy-y2-xz+yz)=0,

 合并、配方得

(x+z)2-4y(x+z)+4y2=0,

 即 (x+z-2y)2=0,

 所以 x+z=2y.

 (2)如果看已知条件:

(z-x)2-4(x-y)(y-z)=0,

 很像二次方程根的判别式b2-4ac的形式,因此,可联想到方程

(x-y)t2+(z-x)t+(y-z)=0(x-y≠0)有二相等实根.由

(x-y)+(z-x)+(y-z)=0

 可知1是以上方程的根,再由根与系数关系知

 所以 x+z=2y.

 当x=y=0,即x=y时,有x=y=z,所以

x+z=2y.

 例7 化简

 分析与解 这是一个根式的化简问题,分子、分母大同小异,自然联想到应用因式分解,使分子、分母具有公因式,化简就很容易了.

 

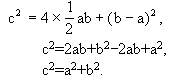
 例8 图2-116是我国古代数学家赵爽证明勾股定理的“弦图”,其中“弦实”是弦平方的面积,“弦图”以弦为边作正方形(如正方形ABCD),然后在“弦图”内部作四个直角三角形(如△AHB,△BEC,△CDF,△DAG).设a,b,c为四个直角三角形的勾、股、弦,则根据“出入相补原理”就有

 即 c2=2ab+b2-2ab+a2,

 即 c2=a2+b2.

 这是中国古代数学家独立于西方毕达哥拉斯和欧几里得发明的证法.后人沿用“出入相补原理”,也就是割补原理解决了许多数学问题,也创造了“勾股定理”的许多新证法.事实上每位初中同学,学了勾股定理,只要用心思考,一定会用割补法想出更新的证明勾股定理的方法.下面的几例,便是同学们提出的割补图.

 设a,b,c分别为直角三角形的勾、股、弦.

 (1)在图 2-117中,有

a2+b2=(S3+S5)+(S1+S2+S4)

 =(S4+S5)+(S1+S2+S3)

=2S2+S1+S3=c2

 (2)在图 2-118中,有

a2+b2=(S3+S4)+(S1+S2)

    =S1+S3+S4+S'2+S5=c2

 (3)在图2-119中,有

a2+b2=(S2+S5)+(S1+S3+S4)

  =S1+S2+S3+S4+S5=c2

 (4)在图2-120中,有

 a2+b2=(S'2+S5)+(S1+S3+S4)

 =(S'2+S4)+(S1+S3+S5)

=S1+S2+S3+S5=c2

练习二十

试题详情

1.类比与发现

 例1 已知:△ABC中,∠C= 90°,AC=BC=1,BD是AC边上的中线,E点在AB边上,且ED⊥BD.求△DEA的面积(图2-113).

 解 引CF⊥BA于F,由于BC= AC,所以CF是底边AB上的中线.因为H为△ABC的重心,所以

 因为∠C=∠BDE=90°,所以

∠ADE=∠CBH.

 又由∠A=∠BCH=45°,可知△ADE∽△CBH.所以

  

 类比 如果保留例1中等腰三角形诸条件,去掉直角这一特殊性,那么是否会产生类似的命题呢?由此想到例2.

 例2 如图2-114.已知△ABC中,∠C=4∠B=4∠A,BD是AC边上的中线,E点在AB上,且∠AED=∠C,S△ABC=1,求S△AED

 解 类似例1的解法,引CF⊥AB于F,交BD于H,显然△ADE不相似于△CBH.但由已知条件

∠C=4∠B=4∠A,

 则

∠A=∠B=30°,∠C=120°.

 由于CF平分∠C,所以

∠ACF=60°.

 又因为∠AED=∠ACB,∠A=∠A,所以

△ADE∽△ABC,

 所以

 由于△AFC中∠AFC=90°,∠A=30°,所以若设CF=x,则

 

  

 类比 如果保留例1中的直角等条件,去掉等腰三角形这一特殊性,可以类似地得到例3.

 例3 已知△ABC中∠C= 90°,AC=2BC=2,BD是AC边上的中线,CF⊥AB于F,交BD于H(图2-115).求S△CBH

 解 本题直接求S△CBH有些困难,联想例1、例2中的△ADE,不妨引辅助线DE⊥BD交AB于E.

 由于AC=2BC=2,D是AC的中点,且∠C=∠BDE=90°,所以

∠CBH=∠ADE=45°.

 因为CF⊥AB于F,所以∠BCH=∠A.由于BC=AD=1,所以

△CBH≌△ADE,

 所以 S△CBH=S△ADE.

 因此只要求出S△ADE即可,为此,设DE=x,则

 

 

 (2)例3由例1类比而来,最自然的想法是求S△ADE,为增加难度与变换方式获得新命题,故例3反求S△CBH

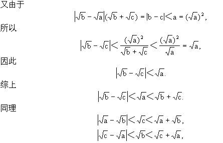
 我们知道一个三角形的三边如果是a,b,c,那么就有

│b-c│<a<b+c,①

 即三角形任意一边小于其余两边之和,大于其余两边之差.

 我们对①类比:是否有

 存在呢?如果②存在,那么就发现了如下命题(例4).

试题详情

21、若2(x+1)-5<3(x-1)+4的最小整数解是方程x-mx=5的解,求代数式的值.

试题详情

20、若关于的方程组的解满足>,求p的取值范围.

试题详情

19、求不等式的非负数解.

试题详情

18、解下列不等式,并把解集在数轴上表示出来:

  (1)      (2)≤1

  (3)    (4)>-2

试题详情

17、下面解不等式的过程是否正确,如不正确,请找出,并改正.

  解不等式:

解:去分母,得   ①

去括号,得   ②

移项,合并,得 5<21         ③

因为x不存在,所以原不等式无解.   ④

试题详情

16、当k      时,代数式(k-1)的值不小于代数式1-的值.

试题详情

15、不等式的非正整数解     _____.

试题详情

14、若关于x的不等式x-1≤a有四个非负整数解,则整数a的值为    

试题详情


同步练习册答案