题目列表(包括答案和解析)

 0  77421  77429  77435  77439  77445  77447  77451  77457  77459  77465  77471  77475  77477  77481  77487  77489  77495  77499  77501  77505  77507  77511  77513  77515  77516  77517  77519  77520  77521  77523  77525  77529  77531  77535  77537  77541  77547  77549  77555  77559  77561  77565  77571  77577  77579  77585  77589  77591  77597  77601  77607  77615  447348 

5.证明:

 

试题详情

3.求证:

 

  

试题详情

2.证明:

 (x+y+z)3xyz-(yz+zx+xy)3

 =xyz(x3+y3+z3)-(y3z3+z3x3+x3y3).

试题详情

1.已知(c-a)2-4(a-b)(b-c)=0,求证:2b=a+c.

试题详情

4.其他证明方法与技巧

 

 求证:8a+9b+5c=0.

 

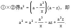
 a+b=k(a-b),b+c=2k(b-c),

 (c+a)=3k(c-a).

 所以

 6(a+b)=6k(a-b),

 3(b+c)=6k(b-c),

 2(c+a)=6k(c-a).以上三式相加,得

 6(a+b)+3(b+c)+2(c+a)

 =6k(a-b+b-c+c-a),

 即 8a+9b+5c=0.

 说明 本题证明中用到了“遇连比设为k”的设参数法,前面的例2用的也是类似方法.这种设参数法也是恒等式证明中的常用技巧.

 例8 已知a+b+c=0,求证

 2(a4+b4+c4)=(a2+b2+c2)2

 分析与证明 用比差法,注意利用a+b+c=0的条件.

 左-右=2(a4+b4+c4)-(a2+b2+c2)2

  =a4+b4+c4-2a2b2-2b2c2-2c2a2

  =(a2-b2-c2)2-4b2c2

  =(a2-b2-c2+2bc)(a2-b2-c2-2bc)

  =[a2-(b-c)2][a2-(b+c)2]

  =(a-b+c)(a+b-c)(a-b-c)(a+b+c)=0.所以等式成立.

 说明 本题证明过程中主要是进行因式分解.

 

 分析 本题的两个已知条件中,包含字母a,x,y和z,而在求证的结论中,却只包含a,x和z,因此可以从消去y着手,得到如下证法.

 证 由已知

  

  

 说明 本题利用的是“消元”法,它是证明条件等式的常用方法.

 例10 证明:

 (y+z-2x)3+(z+x-2y)3+(x+y-2z)3

 =3(y+z-2x)(z+x-2y)(x+y-2z).

 分析与证明 此题看起来很复杂,但仔细观察,可以使用换元法.令

y+z-2x=a,①

z+x-2y=b,②

x+y-2z=c,③

 则要证的等式变为

a3+b3+c3=3abc.

 联想到乘法公式:

 a3+b3+c3-3abc=(a+b+c)(a2+b2+c2-ab-bc-ca),所以将①,②,③相加有

 a+b+c=y+z-2x+z+x-2y+x+y-2z=0,

 所以 a3+b3+c3-3abc=0,

 所以

 (y+z-2x)3+(z+x-2y)3+(x+y-2z)3

 =3(y+z-2x)(z+x-2y)(x+y-2z).

 说明 由本例可以看出,换元法也可以在恒等式证明中发挥效力.

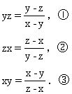
 例11 设x,y,z为互不相等的非零实数,且

 求证:x2y2z2=1.

 分析 本题x,y,z具有轮换对称的特点,我们不妨先看二元的

 

 所以x2y2=1.三元与二元的结构类似.

 证 由已知有

 

 ①×②×③得x2y2z2=1.

 说明 这种欲进先退的解题策略经常用于探索解决问题的思路中.

 总之,从上面的例题中可以看出,恒等式证明的关键是代数式的变形技能.同学们要在明确变形目的的基础上,深刻体会例题中的常用变形技能与方法,这对以后的数学学习非常重要.

练习五

试题详情

3.分析法与综合法

 根据推理过程的方向不同,恒等式的证明方法又可分为分析法与综合法.分析法是从要求证的结论出发,寻求在什么情况下结论是正确的,这样一步一步逆向推导,寻求结论成立的条件,一旦条件成立就可断言结论正确,即所谓“执果索因”.而综合法正好相反,它是“由因导果”,即从已知条件出发顺向推理,得到所求结论.

 

 证 要证 a2+b2+c2=(a+b-c)2,只要证

 

a2+b2+c2=a2+b2+c2+2ab-2ac-2bc,

 只要证 ab=ac+bc,

 只要证 c(a+b)=ab,

 只要证

 这最后的等式正好是题设,而以上推理每一步都可逆,故所求证的等式成立.

 说明 本题采用的方法是典型的分析法.

 例6 已知a4+b4+c4+d4=4abcd,且a,b,c,d都是正数,求证:a=b=c=d.

 证 由已知可得

a4+b4+c4+d4-4abcd=0,

 (a2-b2)2+(c2-d2)2+2a2b2+2c2d2-4abcd=0,

 所以

 (a2-b2)2+(c2-d2)2+2(ab-cd)2=0.

 因为(a2-b2)2≥0,(c2-d2)2≥0,(ab-cd)2≥0,所以

 a2-b2=c2-d2=ab-cd=0,

 所以 (a+b)(a-b)=(c+d)(c-d)=0.

 又因为a,b,c,d都为正数,所以a+b≠0,c+d≠0,所以

 a=b,c=d.

 所以

 ab-cd=a2-c2=(a+c)(a-c)=0,

 所以a=c.故a=b=c=d成立.

 说明 本题采用的方法是综合法.

试题详情

2.比较法

  a=b(比商法).这也是证明恒等式的重要思路之一.

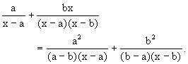
 例3 求证:

 

 分析 用比差法证明左-右=0.本例中,

 

 这个式子具有如下特征:如果取出它的第一项,把其中的字母轮换,即以b代a,c代b,a代c,则可得出第二项;若对第二项的字母实行上述轮换,则可得出第三项;对第三项的字母实行上述轮换,可得出第一项.具有这种特性的式子叫作轮换式.利用这种特性,可使轮换式的运算简化.

 证 因为

  

     

 所以

 

 所以

 

 说明 本例若采用通分化简的方法将很繁.像这种把一个分式分解成几个部分分式和的形式,是分式恒等变形中的常用技巧.

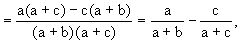
 全不为零.证明:

 (1+p)(1+q)(1+r)=(1-p)(1-q)(1-r).

 

 同理

 

 所以

  

    

 所以(1+p)(1+q)(1+r)=(1-p)(1-q)(1-r).

 说明 本例采用的是比商法.

试题详情

1.由繁到简和相向趋进

 恒等式证明最基本的思路是“由繁到简”(即由等式较繁的一边向另一边推导)和“相向趋进”(即将等式两边同时转化为同一形式).

 例1 已知x+y+z=xyz,证明:x(1-y2)(1-z2)+y(1-x2)(1-z2)+z(1-x2)(1-y2)=4xyz.

 分析 将左边展开,利用条件x+y+z=xyz,将等式左边化简成右边.

 证 因为x+y+z=xyz,所以

 左边=x(1-z2-y2-y2z2)+y(1-z2-x2+x2z2)+(1-y2-x2+x2y2)

  =(x+y+z)-xz2-xy2+xy2z2-yz2+yx2+yx2z2-zy2-zx2+zx2y2

  =xyz-xy(y+x)-xz(x+z)-yz(y+z)+xyz(xy+yz+zx)

  =xyz-xy(xyz-z)-xz(xyz-y)-yz(xyz-x)+xyz(xy+yz+zx)

  =xyz+xyz+xyz+xyz

  =4xyz=右边.

 说明 本例的证明思路就是“由繁到简”.

 例2 已知1989x2=1991y2=1993z2,x>0,y>0,z>0,且

 

 证 令1989x2=1991y2=1993z2=k(k>0),则

 

  

 又因为

 

 所以

 

 所以

 

 说明 本例的证明思路是“相向趋进”,在证明方法上,通过设参数k,使左右两边同时变形为同一形式,从而使等式成立.

试题详情

18、某工厂有220名员工,财务科要了解员工收入情况。现在抽测了10名员工的本月收入,结果如下:(单位:元)。

1660  1540  1510  1670  1620  1580  1580  1600  1620  1620

(1)全厂员工的月平均收入是多少?

(2)平均每名员工的年薪是多少?

(3)财务科本月应准备多少钱发工资?

(4)一名本月收入为1570元的员工收入水平如何?

试题详情

17、现有A、B两个班级,每个班级各有45名学生参加一次测试,每名参加者可获得0,1,2,3,4,5,6,7,8,9分这几种不同的分值中的一种.测试结果A班的成绩如下表所示,B班的成绩如右图所示.

 

A班
分数
0
1
2
3
4
5
6
7
8
9
人数
1
3
5
7
6
8
6
4
3
2

(1)由观察可知,______班的方差较大;

(2)若两班合计共有60人及格,问参加者最少获______分才可以及格.

试题详情


同步练习册答案