题目列表(包括答案和解析)

 0  80935  80943  80949  80953  80959  80961  80965  80971  80973  80979  80985  80989  80991  80995  81001  81003  81009  81013  81015  81019  81021  81025  81027  81029  81030  81031  81033  81034  81035  81037  81039  81043  81045  81049  81051  81055  81061  81063  81069  81073  81075  81079  81085  81091  81093  81099  81103  81105  81111  81115  81121  81129  447348 

   设关于的二次方程 的两根都是整数,求满足条件的所有实数的值。

=============== =============== ===============

试题详情

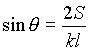
   EFGH是正方形ABCD的内接四边形,两条对角线EG和FH所夹的锐角为θ,且∠BEG与∠CFH都是锐角。已知EG=,FH=,四边形EFGH的面积为

(1)求证:

(2)试用表示正方形ABCD的面积。

试题详情

   设是实数,二次函数的图象与轴有两个不同的交点

   (1)求证:

   (2)若间的距离不超过,求的最大值。

试题详情

4、设正三角形ABC的边长为2,M是AB边上的中点,P是边BC上的任意一点,PA+PM的最大值和最小值分别记为,则________。

=============== =============== ===============

第二试(4月2日上午10:30----11:30)

试题详情

3、实数满足,则________。

试题详情

2、某果品店组合销售水果,甲种搭配:2千克A水果,4千克B水果;乙种搭配:3千克A水果,8千克B水果,1千克C水果;丙种搭配:2千克A水果,6千克B水果,l千克C水果。A水果价格每千克2元,B水果价格每千克1.2元,C水果价格每千克10元。某天该店销售三种搭配共得441.2元,其中A水果的销售额为116元,则C水果的销售额为________元。

试题详情

1、是正数,并且抛物线都与轴有公共点,则的最小值是________。

试题详情

6、已知ABCD是一个半径为R的圆的内接四边形,AB=12,CD=6,分别延长AB和DC,它们相交于P且BP=8,∠APD=60°,则R等于( )。

(A)10;(B);(C);(D)14。

试题详情

5、已知一个梯形的四条边的长分别为1、2、3、4,则此梯形的面积等于( )。

(A)4;(B)6;(C);(D)

试题详情

4、正整数小于100,并满足等式,其中表示不超过的最大整数,这样的正整数有( )。

(A)2个;(B)3个;(C)12个;(D)16个。

试题详情


同步练习册答案