0  174423  174431  174437  174441  174447  174449  174453  174459  174461  174467  174473  174477  174479  174483  174489  174491  174497  174501  174503  174507  174509  174513  174515  174517  174518  174519  174521  174522  174523  174525  174527  174531  174533  174537  174539  174543  174549  174551  174557  174561  174563  174567  174573  174579  174581  174587  174591  174593  174599  174603  174609  174617  447090 

8.设NA为阿伏伽德罗常数,下列叙述正确的是

   A.24g镁的原子最外层电子数为NA  B.1L0.1mol·L-1乙酸溶液中H+数为0.1NA

   C.1mol甲烷分子所含质子数为10NA  D.标准状况下,22.4L乙醇的分子数为NA

试题详情

7.能实现下列物质间直接转化的元素是

   单质氧化物酸或碱

   A.硅        B.硫        C.铜          D.铁

试题详情

6.下列类型的反应,一定发生电子转移的是

A.化合反应     B.分解反应     C.置换反应      D.复分解反应

试题详情

10.(14分)氢氧燃料电池是符合绿色化学理念的新型发电装置。下图为电池示意图,该电池电极表面镀一层细小的铂粉,铂吸附气体的能力强,性质稳定,请回答:

(1)氢氧燃料电池的能量转化主要形式是  ,在导线中电子流动方向为  (用a、b 表示)。

(2)负极反应式为    

(3)电极表面镀铂粉的原因为   

(4)该电池工作时,H2和O2连续由外部供给,电池可连续不断提供电能。因此,大量安全储氢是关键技术之一,金属锂是一种重要的储氢材料,吸氢和放氢原理如下:

Ⅰ.2Li+H22LiH

Ⅱ.LiH+H2O==LiOH+H2

①反应Ⅰ中的还原剂是   ,反应Ⅱ中的氧化剂是   

②已知LiH固体密度为0.82g/cm3。用锂吸收224L(标准状况)H2,生成的LiH体积与被吸收的H2体积比为    

③由②生成的LiH与H2O作用,放出的H2用作电池燃料,若能量转化率为80%,则导线中通过电子的物质的量为   mol。

试题详情

9.(18分)海水是巨大的资源宝库,在海水淡化及综合利用方面,天津市位居全国前列;从海水中提取食盐和溴的过程如下:

(1)请列举海水淡化的两种方法:    

(2)将NaCl溶液进行电解,在电解槽中可直接得到的产品有H2  、或H2 

(3)步骤Ⅰ中已获得Br2,步骤Ⅱ中又将Br2还原为Br-,其目的为    

(4)步骤Ⅱ用SO2水溶液吸收Br2,吸收率可达95%,有关反应的离子方程式为  ,由此反应可知,除环境保护外,在工业生产中应解决的主要问题是    

(5)某化学研究性学习小组为了解从工业溴中提纯溴的方法,查阅了有关资料,Br2的沸点为59℃。微溶于水,有毒性和强腐蚀性。他们参观生产过程后,绘制了如下装置简图:

请你参与分析讨论:

①图中仪器B的名称:     

②整套实验装置中仪器连接均不能用橡胶塞和橡胶管,其原因是     

③实验装置气密性良好,要达到提纯溴的目的,操作中如何控制关键条件:  

④C中液体产生颜色为  。为除去该产物中仍残留的少量Cl2,可向其中加入NaBr溶液,充分反应后,再进行的分离操作是     

试题详情

6.已知:2CO(g)+O2(g)===2CO2(g)  

Na2O2(s)+CO2(g)=Na2CO3(s)+     ΔH=-226 kJ/mol

根据以上热化学方程式判断,下列说法正确的是

A.CO的燃烧热为283 kJ

B.下图可表示为CO生成CO2的反应过程和能量关系

C.2Na2O2(s)+2CO2(s)=2Na2CO3(s)+O2(s)  ΔH>-452kJ/mol

D.CO(g)与Na2O2(s)反应放出509 kJ热量时,电子转移数为6.02×1023

第Ⅱ卷

(14分)下表为元素周期表的一部分,请参照元素①-⑧在表中的位置,用化学用语回答下列问题:


周期
IA
 
0
1

ⅡA
ⅢA
ⅣA
ⅤA
ⅥA
ⅦA
 
2
 
 
 



 
 
3

 


 
 

 

(1)④、⑤、⑥的原子半径由大到小的顺序为_________________________。

(2)②、③、⑦的最高价含氧酸的酸性由强到弱的顺序是_________________________。

(3)①、④、⑤、⑧中的某些元素可形成既含离子键又含极性共价键的化合物,写出其中一种化合物的电子式:____________________。

(4)由表中两种元素的原子按1:1组成的常见液态化合物的稀溶液易被催化分解,可使用的催化剂为(填序号)_________________。

a.MnO2        b.FeCl3        c.Na2SO3          d.KMnO4

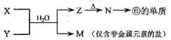
(5)由表中元素形成的常见物质X、Y、Z、M、N可发生以下反应:

X溶液与Y溶液反应的离子方程式为_____________________,

N→⑥的单质的化学方程式为________________。

常温下,为使0.1 mol/L M 溶液中由M电离的阴、阳离子浓度相等,应向溶液中加入一定量的Y溶液至_________________。

试题详情

5.人体血液内的血红蛋白(Hb)易与O2结合生成HbO2,因此具有输氧能力,CO吸入肺中发生反应:CO+HbO2O2+HbCO,37℃时,该反应的平衡常数K=220.HbCO的浓度达到HbO2浓液的0.02倍,导使人智力受损。据此,下列结论错误的是

A.CO与HbO2反应的平衡常数K=

B.人体吸入的CO越多,与血红蛋白结合的O2越少

C.当吸入的CO与O2浓度之比大于或等于0.02时,人的智力才会受损

D.把CO中毒的病人放入高压氧仓中解毒,其原理是使上述平衡向左移动

试题详情

4.下列叙述正确的是

A.0.1 mol/L C6H5ONa溶液中:c(Na+)>c(C6H5O-)>c(H+)>c(OH-)

B.Na2CO3溶液加水稀释后,恢复至原温度,pH和Kw均减小

C.pH=5的CH3COOH溶液和pH=5的NH4Cl溶液中,c(H+)不相等

D.在Na2S溶液中加入AgCl固体,溶液中c(S2-)下降

试题详情

3.下列实验设计和结论相等的是

A.将碘水倒入分液漏斗,加适量乙醇,振荡后静置,可将碘萃取到乙醇中

B.某气体能使湿润的红色石蕊试纸变蓝,该气体水溶液一定显碱性

C.某无色溶液中加Ba(NO2)2溶液,再加入稀盐酸,沉淀不溶解,则原溶液中一定有SO42-

D.在含FeCl2杂质的FeCl3溶液中通足量Cl2后,充分加热,除去过量的Cl2,即可得到较纯净的FeCl3溶液

试题详情


同步练习册答案