0  174967  174975  174981  174985  174991  174993  174997  175003  175005  175011  175017  175021  175023  175027  175033  175035  175041  175045  175047  175051  175053  175057  175059  175061  175062  175063  175065  175066  175067  175069  175071  175075  175077  175081  175083  175087  175093  175095  175101  175105  175107  175111  175117  175123  175125  175131  175135  175137  175143  175147  175153  175161  447090 

23.四种短周期元素A、B、C、D的性质或结构信息如下。

    信息① 原子半径大小:A>B>C>D

信息② 四种元素之间形成的某三种分子的比例模型及部分性质:

 

    甲:是地球上最常见的物质之一,是包括人类在内所有生命生存的重要资源,也是生物体最重要的组成部分。

    乙:无色,无味而易燃,是21世纪的主要能源。

    丙:有强氧化性,可以用于消毒杀菌。

    请根据上述信息回答下列问题:

  (1)甲、乙、丙中含有共同元素是       (填名称)。

  (2)B元素在周期表中的位置       ,写出A原子的电子排布式     

  (3)上述元素的原子M层有一个未成对P电子数的是      (填元素符号)。

  (4)B形成的单质晶体可能为     

A.离子晶体   B.分子晶体       C.原子晶体       D.金属晶体

  (5)A、B、C分别和D形成的化合物a、b、c。这些化合物分子的沸点的高低顺序可能为      

A.a>b>c    B.b>c>a        C.a>c>b        D.c>b>a

试题详情

22.今有一混合物的水溶液,只可能含有以下离子中的若干种:,现取三份100mL溶液进行如下实验

  (1)第一份加入溶液有沉淀产生

  (2)第二份加足量溶液加热后,收集到气体0.04 mol

  (3)第三份加足量溶液后,得干燥沉淀6.27g,经足量盐酸洗涤、干燥后,沉淀质量为2.33g。根据上述实验,以下推测正确的是                               (   )

    A.一定存在                   B.100 mL溶液中含0.01mol

C.可能存在                   D.一定不存在,可能存在

试题详情

21.25℃时,下列各溶液中有关物质的量浓度关系正确的是                  (   )

    A.pH=2的醋酸溶液与pH=12的NaOH溶液等体积混合:

   

B.溶液中:

C.溶液中滴加NaOH至溶液恰好呈中性:

    

D.pH相同的溶液、溶液、溶液、溶液:

   

试题详情

20.下列现象或事实可用同一原理解释的是                               (   )

    A.氯气和二氧化硫使品红溶液褪色

B.亚硫酸钠和硅酸钠长期暴露在空气中变质

C.苯和环已烷使溴的水溶液褪色

D.溶液和溶液与溶液混合均放出气体

试题详情

19.下列两种气体的分子数一定相等的是                                (   )

    A.质量相等、密度不等的N2和C2H4    B.等体积等密度的CO和C2H4

    C.等温等体积的O2和N2            D.等压等体积的N2和CO2

试题详情

18.设NA为阿伏伽德罗常数,下列叙述中正确的是                        (   )

    A.46g NO2和N2O4混合气体中含有原子数为3NA

B.标准状况下22.4 L H2中含中子数为2NA

C.1 L 1mol/L醋酸溶液中离子总数为2NA

D.1 mol Mg与足量O2或N2反应生成MgO或Mg3N2均失去2NA个电子

试题详情

17.碳跟浓硫酸共热产生的气体X和铜跟浓硝酸反应产生的气体Y同时通入盛有足量BaCl2溶液的洗气瓶中(如下图装置)下列有关说法正确的是                               (   )

    A.洗气瓶中产生的沉淀是碳酸钡       B.在Z导管出来气体中无CO2

C.洗气瓶中产生的沉淀是亚硫酸钡     D.在Z导管口有红棕色气体出现

试题详情

16.1999年曾报导合成和分离了含高能量的正离子的化合物,下列叙述错误的是

(   )

    A.共有34个核外电子            B.中氮-氮原子间以共用电子对结合

C.化合物中As化合价为+1    D.化合物中F化合价为-1

试题详情

15.下列反应的例子方程式正确的是                                    (   )

    A.氢氧化钠溶液中通入少量二氧化硫:

B.碳酸氢钠溶液与足量氢氧化钡溶液混合:

C.盐酸滴入氨水中:

D.碳酸钙溶解于稀硝酸中:

试题详情

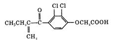
14.利尿酸在奥运会上被禁用,其结构简式如下图所示。下列叙述正确的是      (   )

    A.利尿酸衍生物利尿酸甲酯的分子式是

B.利尿酸分子最多与3 mol NaOH反应

C.1 mol利尿酸能与5 mol发生加成反应

D.利尿酸能与溶液发生显色反应

试题详情


同步练习册答案