0  253336  253344  253350  253354  253360  253362  253366  253372  253374  253380  253386  253390  253392  253396  253402  253404  253410  253414  253416  253420  253422  253426  253428  253430  253431  253432  253434  253435  253436  253438  253440  253444  253446  253450  253452  253456  253462  253464  253470  253474  253476  253480  253486  253492  253494  253500  253504  253506  253512  253516  253522  253530  447090 

6.下列各组函数是同一函数的是      (  )21世纪教育网

;  21世纪教育网

;③;21世纪教育网

。21世纪教育网

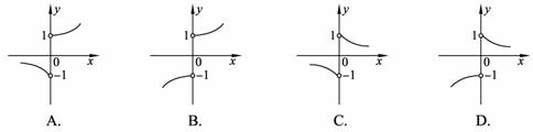
A.①②   B.①③    C.②④    D.③④21世纪教育网

试题详情

5.若函数f(x)=loga(x+1)(a>0,a≠1)的定义域是[0,1]时,值域也是[0,1],则a等于  (  )21世纪教育网

A.      B.         C.          D.221世纪教育网

试题详情

4.在集合中,的值可以是( )21世纪教育网

 A.0  B.1  C.2  D.1或221世纪教育网

试题详情

3.若全集,集合M={x|-2≤x≤2},N={x|≤0},21世纪教育网

则M∩()=(   )21世纪教育网

A. [-2,0]    B. [-2,0)  C. [0,2]   D.(0,2)21世纪教育网

试题详情

2. 下列函数,在其定义域内既是奇函数又是增函数的是(   )21世纪教育网

A.  (x∈)      B.  (x∈)21世纪教育网

C.  (x>0, x∈)   D.  (x∈,x≠0)21世纪教育网

试题详情

一选择题(每个小题只有一个正确答案请将正确的答案涂在答题卡上)21世纪教育网

1. 函数 ()的图象的基本形状是(   )21世纪教育网

21世纪教育网

21世纪教育网

试题详情

31. (8分) 某同学向盛有少量碳酸钠溶液的烧杯中滴入氯化钙溶液,立即产生白色沉淀,过滤后得到澄清滤液,你认为滤液中含有哪些溶质?请你猜想,并设计实验来验证。

[猜想]:

猜想①:滤液中的溶质有   碳酸钠、  氯化钠    

猜想②:滤液中的溶质有             

猜想③:滤液中只有                

[设计实验]:

请你设计实验方案来验证以上猜想,并将有关内容填写在以下实验报告的空格内。

实验步骤
实验现象及有关化学方程式
结论
 
 
 
 
猜想①正确
 
 
 
 
猜想②正确
 
 
 
 
猜想③正确

试题详情

30. (6分)铁是工农业生产和人们生活离不开的重要金属材料之一。

(1)工业上利用高炉炼铁所需原料有铁矿石、焦炭、石灰石,其中,焦炭的作用是   

                   ;用一氧化碳和赤铁矿(主要成分氧化铁)反应炼铁的化学方程式                          

(2)通过以上方法得到的是生铁,另一种铁合金的名称是      

(3)为探究铁钉锈蚀条件,一位同学设计了以下实验:

 
实验一
实验二
 
实验装置

 

10天后观察到的实验现象
铁钉表面没有明显的锈斑
铁钉表面有明显的锈斑

      该同学根据以上实验现象得出了铁钉锈蚀是铁与空气中的氧气、水蒸气等发生化

学反应的过程。你认为,该同学的以上实验方案是否合理        (填“合理”或“不合理”),理由是                           

                 

(4)请举出一个防止铁制品生锈的实例                    

              

试题详情

29.(4分)如右图所示,在A烧杯中加入少量氢氧化钠溶液,并滴入几滴酚酞溶液;在B烧杯中加入足量的浓盐酸,然后用一个大烧杯罩住A、B两个小烧杯。

请回答:

(1)放置一段时间后,A烧杯中的现象是         

        ,溶液的pH       (填“升高”、

“降低”或“不变”)。

(2)该现象说明浓盐酸具有的性质是(列举两条):

    ①                       

                      

试题详情

28.(7分)以下是配制100g质量分数为5%的氯化钠溶液的操作示意图。

         A      B         C         D     E

请回答:

(1)仪器①、②的名称是:①        ,②       

(2)在上图所示的配制全过程中,正确的操作顺序是               (填字母);需水      mL。

(3)在C操作中,量水时,量筒必须放平,视线要与量筒内液体凹面的       处保持水平。

(4)A操作的名称是        ;B操作的作用是              

试题详情


同步练习册答案