0  254826  254834  254840  254844  254850  254852  254856  254862  254864  254870  254876  254880  254882  254886  254892  254894  254900  254904  254906  254910  254912  254916  254918  254920  254921  254922  254924  254925  254926  254928  254930  254934  254936  254940  254942  254946  254952  254954  254960  254964  254966  254970  254976  254982  254984  254990  254994  254996  255002  255006  255012  255020  447090 

18.(本小题满分10分)

在等比数列中,,公比,且,又的等比中项为

(Ⅰ)求数列的通项公式;

(Ⅱ)设,数列的前项和为,求数列的通项公式

(Ⅲ)设,求.

试题详情

17.(本小题满分10分)

  在△ABC中,是角所对的边,且满足

  (Ⅰ)求角的大小;

  (Ⅱ)设,求的最小值.

试题详情

16.当时,函数的图像恒过点,若点在直线上,则的最小值为____  ____.

试题详情

15.物体在直线上从时刻t=0秒开始以速度v=t2-1运动,则从t=0秒到t=4秒这一物体走过的路程s=______________。

试题详情

14.已知数列对任意的p、q有ap+aq=ap+q,若a1=,则a36=__________.

试题详情

13.若,则_______ 。               

试题详情

11.已知上是减函数,那么a的取值范围是(   )

   A.(0,1)   B.   C.    D.

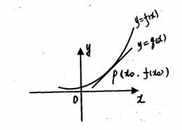
  12.已知可导函数在点处切线为(如图),设,则(   )

   A.的极大值点

   B.的极小值点

   C.的极值点

   D.的极值点

第II卷

本卷包括必考题和选考题两部分,第13题-第21题为必考题,每个试题考生都必须做答,第22、23、24题为选考题,考生根据要求做答.

试题详情

10.已知函数在一个周期内的图象如图所示,要得到函数的图象,则需将函数的图象(   )

A.向右平移

B.向左平移

C.向右平移   

D.向左平移

试题详情

9.设函数是定义在R上的奇函数,若的最小正周期为3,且

 的取值范围是(   )

   A.     B.

   C.       D.

试题详情

8.在△ABC中,角A,B,C的对边分别为a,b,c,则c等于(   )

A.     B.   C.4    D.

试题详情


同步练习册答案