0  258628  258636  258642  258646  258652  258654  258658  258664  258666  258672  258678  258682  258684  258688  258694  258696  258702  258706  258708  258712  258714  258718  258720  258722  258723  258724  258726  258727  258728  258730  258732  258736  258738  258742  258744  258748  258754  258756  258762  258766  258768  258772  258778  258784  258786  258792  258796  258798  258804  258808  258814  258822  447090 

22. 设函数

   (1)若的图象在处的切线与直线平行,求实数的值;

   (2)是否存在实数,使得函数内有两个不同极值点?若存在,求出实数的取值范围;若不存在,请说明理由。

试题详情

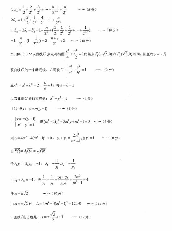
21. 双曲线与椭圆有相同的焦点,直线是双曲线的一条渐近线。

   (1)双曲线的方程;

   (2)过点的直线与双曲线交于、两点,交轴于点点(点与双曲线的顶点不重合)。当时,求直线的方程。

试题详情

20. 设数列满足:

   (1)求数列的通项公式;

   (2)若数列的前项和为,求证:

试题详情

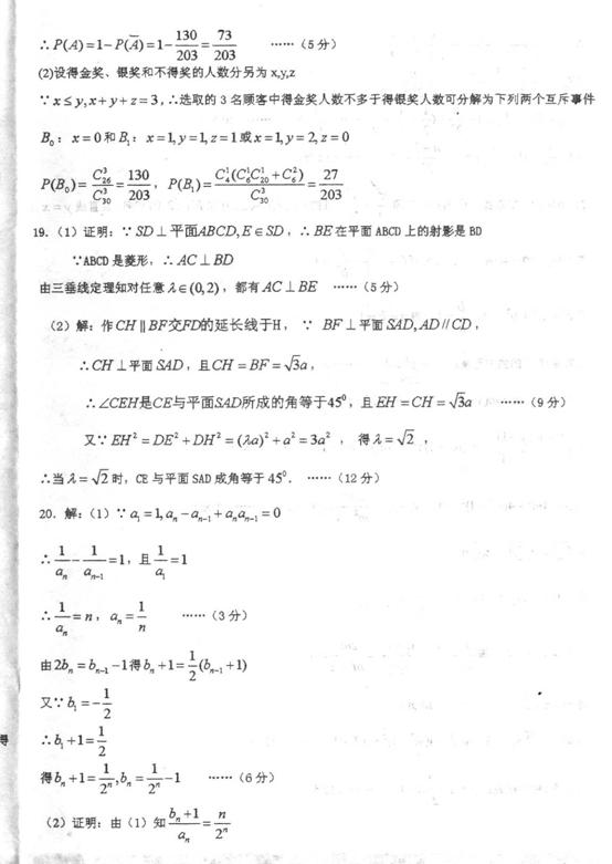
19. 如图,四棱锥的底面是菱形,平面

上一点,且 

.

   (1)证明:对任意,都有

   (2)是否存在点,使与平面成角等于

45°?若存在,求出的值,若不存在,请说明理由。

试题详情

18. 某商场在今年“十一”黄金周期间采取购物抽奖的方式促销(每人至多抽奖一次),设了金奖和银奖,奖券共2000张。在某一时段对30名顾客进行调查,其中有的顾客没有得奖,而得奖的顾客中有的顾客得银奖,若对这30名顾客随机采访3名顾客。

   (1)求选取的3名顾客中至少有一人得金奖的概率;

   (2)求选取的3名顾客中得金奖人数不多于得银奖人数的概率。

试题详情

17. 设锐角三角形的三内角、、的对边分别为、、,且

   (1)求角的大小;

   (2)求的取值范围。

试题详情

16. 设函数,下列四个结论:

   ①是奇函数;             ②是减函数;

   ③不是增函数;           ④不存在反函数。

   其中正确的结论序号是       

试题详情

15. 矩形中,沿将矩形折成一个直二面角,则四面体的外接球的体积为       

试题详情

14. 若实数满足,则的最小值是       

试题详情


同步练习册答案