0  266173  266181  266187  266191  266197  266199  266203  266209  266211  266217  266223  266227  266229  266233  266239  266241  266247  266251  266253  266257  266259  266263  266265  266267  266268  266269  266271  266272  266273  266275  266277  266281  266283  266287  266289  266293  266299  266301  266307  266311  266313  266317  266323  266329  266331  266337  266341  266343  266349  266353  266359  266367  447090 

27.(5分)物质都是由粒子构成的,化学反应的实质是粒子之间的重新组合。

(1)右图为甲、乙两种不同的气态物质在一定条件下反应生成丙物质的微观示意图,其中别表示氢原子和氮原子,则可知:

①一个丙分子由     个原子构成。

②构成甲物质的粒子是     (填“分子”、“原子”或“离子”)。

③此反应中甲、乙、丙三种物质的粒子个数比为       

A       B         D       E
 
(2)把一定质量的纯净物A和80 g B在一定条件下按下图所示充分反应,当B消耗完时,可生成88 g D物质和18 g E物质。

回答

请回答下列问题:

①参加反应的A物质的质量是   

②A分子中各元素的原子个数比是(需表示出元素种类)     

试题详情

26.(6分)化学与生活密切相关。

(1)识别织物成分常用灼烧法。若灼烧时,闻到了    ,则该织物中含有羊毛。

(2)“钙强化营养盐”的配料表:氯化钠、活性钙、碘酸钾。该盐中的营养成分表如下:

项目
能量
蛋白质
脂肪
糖类



每100克
0 kJ
0 g
0 g
0 g
35385 mg[来
250 mg
2 mg

①从上表中可知,此盐中含有___________种营养素。

②食用这种盐对人体健康有利的是___________(填序号)。

  A.防止引起贫血病    B.维持人体内的水分和维持体液恒定的pH

  C.防止甲状腺肿大    D.有助于骨骼和牙齿更坚固

  ③食品安全日益受到人们关注。下列食品因有毒而不能食用的是_________(填序号)。

A.甲醛浸泡的海产品                B.霉变的大米、花生 

C.用亚硝酸钠(NaNO2)代替食盐烹调的食品     D.食盐腌制的咸鸭蛋

(3)正常的雨水因溶解了二氧化碳而显酸性,酸雨是指__________的雨水。

  A. pH > 7      B. pH < 7      C. 5.6< pH < 7      D. pH < 5.6

(4)“节能减排”的环保理念贯穿了2010年上海世博会的全过程。下列措施不利于实现“节能减排”的是____________

A.开发使用太阳能           B.使用氢能燃料车

C.收集雨水用于绿化灌溉        D.直接将污水排入黄浦江

试题详情

25.某融雪剂由氯化钙、氯化钠组成,其中氯化钠的质量分数为26% 。取一份含有融雪剂的雪样充分溶于水后过滤,得到200 g 滤液和 2 g 杂质。取10 g滤液进行测定,假设溶液中氯元素、钙元素、钠元素均来自于融雪剂,且杂质中不含可溶物,其中含钙元素的质量为0.12 g。则所取样品中含有氯元素的质量为

A.5.68 g        B.2.84 g         C.14.2 g          D. 0.71 g

第Ⅱ卷(非选择题,共55分)

试题详情

24.甲、乙两种固体的溶解度曲线如右图所示。下列说法中,不正确的是

A.M点表示在20℃时,甲、乙的溶解度相同

B.20℃时,分别在50 g水中加入50 g甲、乙,加热到40℃时,二者均为饱和溶液

C.40℃时,分别在100 g水中加入50 g甲、乙,所得溶液中溶质的质量分数:甲大于乙

D.40℃时,分别在100 g水中加入30 g 甲、乙,同时降温至20℃,析出固体的质量:甲大于乙

试题详情

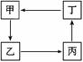
23.甲、乙、丙、丁四种物质有如右图所示的转化关系(部分反应物和产物已略去),则甲、乙、丙、丁依次是

A.C、CO、CO2、H2CO3 

B.CO、CO2、C、H2CO3

C.CaO、Ca(OH)2、CaCl2、CaCO3     

D.CaCO3、Ca(OH)2、CaCl2、CaO

试题详情

22.某同学对下列四个实验都设计了两种方案,其中方案1合理、方案2不合理的是

选项
A
B
C
D
实验
目的
清洗铁制品表面的铁锈
检验氢氧化钠溶液是否变质
除去二氧化碳中含有的少量一氧化碳
鉴别氢氧化钠和氯化钠固体
方案1
用适量稀盐酸洗
滴加稀盐酸
点燃
加水溶解,滴加酚酞溶液
方案2
用适量稀硫酸酸洗
滴加酚酞溶液
将气体通入澄清石灰水
加水溶解,测溶液温度

试题详情

21.下列判断不正确的是

   A.某固体化肥与熟石灰混合研磨产生氨味,证明该化肥一定是铵态氮肥

   B.某物质燃烧产物只有二氧化碳和水,但该物质不一定只由碳和氢两种元素组成

   C.向某固体中滴加稀盐酸,产生的气体使澄清的石灰水变浑浊,但该固体不一定是碳酸钠

   D.某物质能与水反应,将少量该物质加到饱和石灰水中,溶液变浑浊,则该物质一定是二氧化碳[来源:

试题详情

20.在实验室中为了鉴别氢氧化钠溶液和醋酸溶液,同学们提出了下列几种方法:①分别滴加紫色石蕊溶液  ②分别滴加酚酞溶液 ③闻气味 ④品尝 ⑤分别加入一小段镁带⑥分别加入大理石。其中可行的是:

   A. 都可以      B. ①②③④     C. ①②③⑤⑥     D. ①③④⑤⑥

试题详情

19.下列说法正确的是

A.镁条的质量等于它燃烧后生成物的质量

B.蜡烛燃烧时逐渐变短,不符合质量守恒定律

C.高锰酸钾受热分解的总质量等于生成物的总质量

 D.12 g碳和16 g氧气反应,可生成28 g二氧化碳

试题详情

18.下列化学用语的含义表达不正的是

A.2N:表示两个氮原子        B.:表示负二价的氧元素:

C.3CO2:表示三个二氧化碳分子    D.H2:表示一个氢分子由两个氢原子构成

试题详情


同步练习册答案