0  267055  267063  267069  267073  267079  267081  267085  267091  267093  267099  267105  267109  267111  267115  267121  267123  267129  267133  267135  267139  267141  267145  267147  267149  267150  267151  267153  267154  267155  267157  267159  267163  267165  267169  267171  267175  267181  267183  267189  267193  267195  267199  267205  267211  267213  267219  267223  267225  267231  267235  267241  267249  447090 

2.阿伏加德罗常数为6. 02 ×,下列叙述不正确的是

  ①12. 4g白磷晶体中含有的P-P键数是0.6 ×6.02 x

  ②电解精炼铜的过程转移6. 02×个电子时,阳极溶解32g铜

  ③7.8g的混合物中含有的阴离子数大于0.1×6.02×

  ④催化作用下于密闭容器中加热反应后,容器内的分子数大于2×6.02×

  ⑤2 9g熟石膏()含有结晶水的分子数为0.02×6 02× (2的相对分子质量为290)

  ⑥含的浓硫酸与足量铜反应,生成的分子数为0.1×6 02×

  A.①②③⑧⑤  B.①③④⑤⑥  C②③⑤⑥   D. ③④⑤⑥

试题详情

10.用下列实验装置实验,能达到相应实验目的的是

A.装置甲:防止铁钉生锈

B.装置乙:除去乙烯中混有的乙炔

C.装置丙:验证HCl气体在水中的溶解性

D. 装置验室制取乙酸乙脂

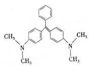
1l.近年来食品安全问题成为社会各界日益关注的焦点话题。香港地区食环署食物安全中心曾对十五个桂花鱼样本进行化验,结果发现十一个样本中含有孔雀石绿。孔雀石绿是化工产品,具有较高毒性,高残留,且长期服用后,容易致癌、致畸,对人体有害。其结构简式如

图所示。下列关于孔雀石绿的说法正确的是

  A.孔雀石绿的分子式为

  B l moI孔锃石绿在一定条件下最多可与6mol发生加成反应

  C孔雀石绿属于芳香烃

  D孔雀石绿苯环上的一氯取代物有5种

试题详情

6.净初级生产力(NPP:net primary productivity)是生产者能用于生长、发育和繁殖的能量值,也是生态系统中其他生物成员生存和繁衍的物质基础。净初级生产力=总初级生产力-自身 呼吸消耗。地球上的生态系统种类繁多,其净初级生产力有很大差异。下表为地球上主要生态系统的总而积及净初级生产力的数值。下列叙述错误的是(   )

  A.以上各类生态系统的组成成分是生产者、消费者和分解者

  B.陆地生态系统中的热带雨林是生物圈最主要的能量基地 

  c.群落结构单一的农田净初级生产力较高的主要原因是人为的使能量向农作物集中

  D.净初级生产力除未利用的部分外,其余的则被初级消费者和分解者利用

7 下列离子共存的说法或离子方程式的书写中,正确的一组是

  ①通入大量后的溶液中能大量共存的离子:

  ②的溶液中能大量共存的离子:

  ③水电离出的溶液中能大量共存的离子:

  ④溶液加人足量ikiaol1溶液共热:

  ⑤用食醋溶解水垢:

   

 ⑥硫酸氖钠溶液中滴入氢氧化钡溶液至

 

⑦用FeCl,溶液腐蚀铜电路板:

  A.①③⑦   B.②④⑦   C.②⑥⑦  D.③④⑥

8某密闭容器中发生如下反应:

右图表示该反应的速率(v)随时问(t)变化的关系,时刻外界条件有所改变,但都没有改变各物质的初始加入量。下列说法中正确的是

A.时加入了催化剂  B.时降低了温度           C.时增大了压强 

D.~时问内转化率最低

9由短周期元素组成的中学常见无机物A、B、C、 D、E、X存在如在右图转化关系(部分生成物和反应条件略去)下列推断不正确的是(   )

A若X是,C为含极性键的非极性分子,则A一定是氯气,且D和E不反应

B,若A是单质,B和D的反应是,则E一定能还原

c.若D为CO,C能和E反应,则A一定为,其电子式是Na'[O:O:]’Na'

D.若D为白色沉淀,与A摩尔质量栩等,则X一定是铝盐

试题详情

5.下图表示某生态系统中甲、乙两种群在一段时间内数量的变化情况。下列有关叙述错误的是(   )

A.两个种群问能量流动方向是甲→乙          

B. M时甲种群的出生率小于死亡率

C.两个种群数数量变化说明了信息传递是双向的

D.两种群数量波动会导致其中一个种群

灭亡

试题详情

4.在一个种群中AA占25%,Aa占50%,aa占25%。如果因为环境的变化,每年aa的个体减少20%,AA和Aa的个体分别增加20%。一年后,aa的个体在种群中的比例为(   )

  A.23.7%   B. 20%   C. 18. 2%   D.15.6%

试题详情

3.右图为某家族遗传病系谱图,下列说法正确的是(   ) 

 A.由l x2 4和5,可推知此病为显性遗传病

 B.根据6与9的关系,可推知致病基因在常染色体上                 

C.2号、5号的基冈型分别为AA、Aa

D.若7号和8号结婚,则生一个患病男

孩的概率为1/6

试题详情

2.美国一项新研究发现,细胞分裂增殖时一旦缺乏某种蛋白质将导致细胞癌变。则下列有关说法正确的是(   )

 A.治疗癌症的方法之一是用药物抑制癌细胞的DNA复制.这将导致处于问期的细胞数目相对增多

  B.癌细胞有丝分裂时,DNA复制发生于问期,而染色体复制发生于前期

  C.观察动物的癌变组织进行有丝分裂时,在分裂末期染色单体彼此分开,向两极移动

  D.右图能够表示某癌细胞有丝分裂前期和后期的三个重要数值的相对量

试题详情

1.由中科院院士汪尔康和第三世界科学院院士董绍俊研究员等承担的国家自然科学基金重点基金项目“模拟生物膜体系的生物电化学研究”已取得了一批具有重要学术影响的成果,对生物电化学、生物传感器、纳米技术等领域具有重要的指导意义。下列有关叙述中正确的是  (   )

  A.细胞膜属于生物膜,并且是双层膜结构

  B.用蛋白酶处理生物膜会改变其组成,但不会改变其通透性

  C.生物传感器的原理与细胞膜上的糖被有关

  D.生物电化学的研究应该与生物膜上的带电粒在有关,与蛋白质无关

试题详情

6.(上海市浦东新区2010年4月高考预测理科)已知一组数据7、8、9、xy的平均数是,则这组数据的中位数是  8  .

试题详情

10.(上海市徐汇区2010年4月高三第二次模拟理科)有5只苹果,它们的质量分别为125   121    127(单位:克):若该样本的中位数和平均值均为, 则该样本的标准差=_____________.(克)(用数字作答) 

试题详情


同步练习册答案