0  338810  338818  338824  338828  338834  338836  338840  338846  338848  338854  338860  338864  338866  338870  338876  338878  338884  338888  338890  338894  338896  338900  338902  338904  338905  338906  338908  338909  338910  338912  338914  338918  338920  338924  338926  338930  338936  338938  338944  338948  338950  338954  338960  338966  338968  338974  338978  338980  338986  338990  338996  339004  447090 

5.下列命题错误的是

(A)命题“若则方程有实根”的逆否命题为:“若方程无实根则” 

(B)“”是  “”的充分不必要条件

(C)  若为假命题,则均为假命题

(D)对于命题使得”,则 均有

试题详情

4.已知函数①;②;③;④。则下列函数图像(在第一象限部分)从左到右依次与函数序号的对应顺序一致的是

(A) ②①③④  (B)②③①④  (C)  ④①③②  (D) ④③①②

试题详情

3.在等差数列中,,则的前5项和为

(A)  32   (B) 16   (C)  10  (D)  6

试题详情

2.若复数是虚数单位)是纯虚数,则实数的值为

(A) -3   (B) 3   (C)  -6  (D)  6

试题详情

1.    设

(A)    (B)    (C)    (D)   

试题详情

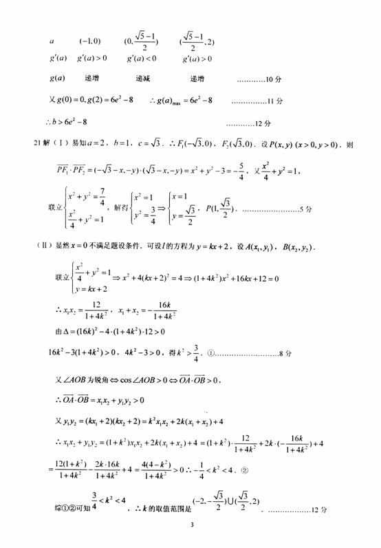
22.(14分)已知函数在区间内各有一个极值点。

    (1)求的最大值;

    (II)当时,设函数在点处的切线,若在点A处穿过函数的图像(即动点在A附近沿曲线运动,经过点A时,从的一侧进入另一侧),求函数的表达式。

试题详情

21.(12分)已知分别是椭圆的左、右焦点。

    (I)若P是第一象限内该椭圆上的一点,,求点P的坐标;

    (II)设过定点M(0,2)的直线与椭圆交于同的两点A、B,且为锐角(其中O伟坐标原点),求直线的斜率的取值范围。

试题详情

20.(12分)在数列中,,当时,其前项和满足

    (1)求证:为等差数列;

    (2)求

    (3)设,求数列的前项和

试题详情

19.(12分)如图,四棱锥的底面是矩形,底面ABCD,P为BC边的中点,SB与平面ABCD所成的角为,且

    (1)求证:PD平面

    (2)求二面角的大小。

试题详情

17(12分)已知向量,向量与向量夹角为,且

(1)    求向量

(2)    若向量与向量=的夹角为,向量,其中A、B、C为ABC的内角,且依次成等差数列。求的取值范围。

18.(12分)某社区举办2010年上海世博会知识宣传活动,进行现场抽奖,抽奖规则是:盒中装有10张大小相同的精美卡片,卡片上分别印有“世博会会徽”或“海宝”(世博会吉祥物)图案,参加者每次从盒中抽取卡片两张,若抽到两张都是“海宝”卡即可获奖。

    (1)活动开始后,一位参加者问:盒中有几张“海宝”卡?主之人说:我只知道若从盒中抽两张都不是“海宝”卡的概率是,求抽奖者获奖的概率;

    (2)现有甲乙丙丁私人依次抽奖,抽后放回,另一个人再抽,求恰有两人获奖的概率。

试题详情


同步练习册答案