0  420319  420327  420333  420337  420343  420345  420349  420355  420357  420363  420369  420373  420375  420379  420385  420387  420393  420397  420399  420403  420405  420409  420411  420413  420414  420415  420417  420418  420419  420421  420423  420427  420429  420433  420435  420439  420445  420447  420453  420457  420459  420463  420469  420475  420477  420483  420487  420489  420495  420499  420505  420513  447090 

(二)选做题(14-15题,考生只能从中选做一题)

14、已知直线L的极坐标方程为:

则极点到直线L的距离为 _____________;

15、如图,已知⊙O的直径AB与弦AC的夹角为30°,

过C的切线PC与AB延长线交于P,若PC=5,则⊙O的半径为______。

基础训练04、

一  选择题

二  填空题

11、8.33399.5  12、   13、  3

14、     15、

试题详情

(一)必做题(11-13题)

11、.为了解某班学生喜爱打篮球是否与性别有关,对本班50人进行了问卷调查得到了下表:

 
喜爱打篮球
不喜爱打篮球
合计
男生
20
5
25
女生
10
15
25
合计
30
20
50

下面的临界值表供参考:


0.15
0.10
0.05
0.025
0.010
0.005
0.001

2.072
2.706
3.841
5.024
6.635
7.879
10.828

则根据以下参考公式可得随机变量的值为   、(保留三位小数)有    %.

的把握认为喜爱打篮球与性别有关.

(参考公式:,其中)

12、在△ABC中,把正弦定理

代入余弦定理得公式:

利用上述关系式计算:

13、按如图所示的程序框图运算.

(1) 若输入,则输出   

(2) 若输出,则输入的取值范围是     

试题详情

52.[2010·陕西宝鸡市质检]如果复数(其中是虚数单位)是实数,则实数___________.

[答案]-1

[解析].于是有

()

试题详情

51.[2010·河北唐山二模]如果复数(其中是虚数单位)是实数,则实数___________.

[答案]

[解析].于是有

试题详情

50.[2010·辽宁抚顺市一模]若,其中为虚数单位,则   

[答案]3

[解析]

试题详情

49.[2010·江苏南通市二模]是虚数单位,   

[答案]

[解析]

试题详情

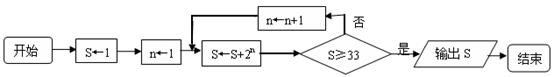
48.[2010·江苏卷]下图是一个算法的流程图,则输出S的值是_____________.

[答案]63

[解析]考查流程图理解.输出.

试题详情

47.[2010·安徽理数]上图(右)所示,程序框图(算法流程图)的输出值________.

[答案]12

[解析]这类问题,通常由开始一步一步运行,根据判断条件,要么几步后就会输出结果,要么就会出现规律,如周期性,等差或等比数列型.

程序运行如下:

,输出12.

试题详情

46.[2010·湖南理数]下图是求的值的程序框图,则正整数   


 
[答案]100[解析]本题考查算法语言,属中档题.因为第一次判断执行后,,第二次判断执行后,,而题目要求计算,故n=100.

试题详情

第五()步:,输出

45.[2010·山东理数]执行右图所示的程序框图,若输入,则输出的值为      

[答案]

[解析]本题考查程序框图的基础知识,考查了同学们的试图能力.当x=10时,y=,此时|y-x|=6;当x=4时,y=,此时|y-x|=3;当x=1时,y=,此时|y-x|=;当x=时,y=,此时|y-x|=,故输出y的值为.

试题详情


同步练习册答案