0  422295  422303  422309  422313  422319  422321  422325  422331  422333  422339  422345  422349  422351  422355  422361  422363  422369  422373  422375  422379  422381  422385  422387  422389  422390  422391  422393  422394  422395  422397  422399  422403  422405  422409  422411  422415  422421  422423  422429  422433  422435  422439  422445  422451  422453  422459  422463  422465  422471  422475  422481  422489  447090 

2.正确理解惯性的概念

惯性即物体保持原来的状态不变的一种性质,正确理解惯性,要注意以下四关:

(1)一切物体在任何情况下都具有惯性。惯性是物体的一种属性。无论是固体、液体、还是气体都具有惯性,无论物体处于什么状态,总之,一切物体都具有惯性。

(2)决定物体惯性大小的是质量。物体惯性的大小与其质量大小有关。物体的质量越大,其运动状态越难以改变,我们就说它的惯性越大;物体的质量越小,其运动状态越容易改变,我们就说它的惯性越小。例如,用同样大小的力,抛出体积相同的铅球和皮球,显然皮球获得较大的速度,而铅球获得的速度小,即皮球的运动状态容易改变,我们就说,它的惯性小,而铅球的运动状态不易改变,则说明铅球的惯性大,物理学中就用质量这一物理量来理度物体惯性的大小,即质量是物体惯性大小的量度。

(3)惯性和惯性定律的区别和联系,惯性是物体本身具有的一种性质;牛顿第一定律是物体的运动规律。

由于牛顿第一定律揭示了一切物体都具有惯性,指出物体在不受外力作用或受到平衡力作用时能保持匀速直线运动状态或静止状态的原因是在于物体具有惯性,因此牛顿第一定律又叫做惯性定律。

(4)惯性和力的实质不同。惯性和力是两个本质上完全不同的概念,力是物体间的相互作用,惯性是物体的属性,它与外界因素无关,把惯性说成是“惯力”,或者说“物体受到惯性的作用”,“克服物体的惯性”等说法,显然是错误的。

[例题分析]

例1.子弹从枪口射出后,它能在空中继续向前飞行,是因为[  ]

A.子弹受到火药燃气的推力

B.子弹受到了惯力作用

C.子弹有惯性

D.子弹的惯性大于它受到的阻力

分析与解:子弹射出后,它跟火药燃烧产生的高压燃气之间脱离了接触,子弹不再受到推力的作用,惯力是主观臆造的,找不到施力物体,实际不存在的力,子弹能继续前进,是因为子弹离开枪口时,在大药燃烧产生的燃气的作用下,使它获得很大的速度,由于子弹具有惯性,将保持原来的运动状态向前运动。惯性不是力,不能用惯性跟力的大小相比较,本题的正确答案是选项C。

例2.在平直轨道上匀速行驶的火车厢里,竖直向上跳起的人,将落在何处?

分析与解:本题可用牛顿第一定律用说明,车厢里的人随车厢一起具有相同的水平向前的运动速度。当人竖直向上跳起后,人在水平方向上没有受到外力的作用,根据牛顿第一定律,人在水平方向上仍以原来的速度做匀速直线运动,即人的速度仍与车速相同,这就是说,在人跳起的这段时间内,车向前运动了一段路程,同时人在水平方向上也以同样的速度向前运动了相同的路程,所以,跳起的人仍落回原处。

例3.在列车内的水平桌面上,放一杯水,如果水面突然发生了如图4-1-1所示的变化,则列车的运动状态可能发生的变化是[  ]

A.列车突然向右启动

B.列车突然向左启动

C.列车向右匀速行驶突然向右加速运动

D.列车向右匀速行驶突然向右作减速运动

分析与解:这是一道有关惯性知识的题目,逐一分析各选项。

(1)列车突然向右启动,说明列车原来静止,杯内水面应水平且也处于静止状态,车突然向右启动,杯子随车向右运动,杯内水由于惯性还要保持原来的静止状态,水相对于杯子向左涌,左边水平应该高于右边的水平,与图中所示不符,所以A选项是错误的。

(2)列车突然向左启动,根据以上分析,杯内水向右涌,右边水面高,所以B选项是正确的。

(3)列车突然向右加速运动,杯内的水原来随列车向右匀速行驶,水面水平,车加速,杯子随车加速,而水由于惯性,还要保持原来的运动速度不变,相对杯子,水向左涌,左边的水面应高于右边的水面,与图中所示不符,所以C选项是错误的。

(4)列车突然向右减速运动,根据(3)中分析,杯子的速度随列车变小,而水由于惯性还要保持原来的运动状态,水向右涌,所以D选项是正确。

本题的正确答案为:B、D

强化训练

A 组

试题详情

1.正确理解牛顿第一定律

牛顿第一定律知诉我们一切物体在没有受到外力作用时,原来静止状态的总要保持静止原来处于运动状态的,总要按当时的速度(大小和方向)保持匀速直线运动状态不变。也就是说:“静者恒静,动者恒动”。

世界上一切物体都受到力的作用,不受力的物体是没有的,我们不能通过做实验直接得出这一规律。为此,伽利略设计了理想实验,在实验的基础上运用科学的推理,总结,最后由牛顿等科学家得出牛顿第一定律,这种方法是物理研究中的一种重要方法。

牛顿第一定律揭示了自然界一条最基本,最重要的规律,它改变了过去那种认为有力则运动,无力则静止,力大运动得快,力小运动得慢的长期占领人们思想的错误观念,是人类科学史上最重要的飞跃之一。

牛顿第一定律阐明了物体的运动和力之间的关系:

(1)物体不受外力作用时,它总保持静止状态或匀速直线运动状态。可见,力不是产生或维持物体运动的原因。

(2)物体受到外力作用时,就不能保持静止状态或匀速直线运动状态,其运动状态就要发生变化,因此力是改变物体运动状态的原因。

(3)牛顿第一定律揭示了一切物体都具有保持匀速直线运动状态的性质,也就是说,物体具有惯性。

(4)当物体受到平衡力作用时,其所受合力为0,它将保持静止状态或匀速直线运动状态。

牛顿第一定律所描述的不受外力作用是一种理想状态,通常我们看到处于匀速直线运动状态或静止状态的物体,都是物体受到相互平衡的力作用的结果。

试题详情

2.惯性:一切物体都有保持静止状态或运动状态不变的性质,叫做物体的惯性,一切物体在任何情况下都具有惯性。

[要点讲解]

试题详情

1.牛顿第一定律:又叫做惯性定律。内容为:一切物体在没有受到外力作用的时候,总保持静止状态或匀速直线运动状态。

这一定律是在伽利略实验的基础上,经过科学推理得出的。

试题详情

31.Ⅰ(10分)浓度(或比例、或含量)(2分) 由于培养基中不含有机养分(2分),酵母菌是异养型生物(1分),营养物质缺乏,使酵母菌个体数量呈下降趋势;绿藻是自养型生物(1分)培养基中的养分可满足其生活所需,所以绿藻个体数量呈上升趋势

(2)DE(2分) 连续培养(2分)

Ⅱ(12分)(1)实验步骤:②去雄,授以绿色皱粒植株的花粉,并套袋(2分)

推断:①若出现黄色圆粒、黄色皱粒,则该黄色圆粒豌豆的基因型为AABb(2分);

②若出现黄色圆粒、绿色圆粒,则该黄色圆粒豌豆的基因型为AaBB(2分);

③若出现黄色圆粒、绿色圆粒、黄色皱粒、绿色皱粒四种表现型,该黄色圆粒豌豆的基因型为AaBb(2分)

(2)乙(2分) 豌豆是自花传粉和闭花受粉的植株(其他能解释操作简便的合理理由均可)(2分)

[解析]Ⅰ.(1)配制培养基必须注意三个方面:目的明确、营养协调、pH适宜。绿藻是自养生物,可以自己制造有机物而迅速增殖,但是酵母菌是异养生物,提供的有机物是一定的,所以其数量呈下降趋势。(2)胰岛素属于次级代谢产物,合成最快的时期是稳定期,也就是DE期。连续培养可以有效地提高发酵设备的利用率。Ⅱ.(1)已知黄色圆粒豌豆是显性性状,所以可以让这种植株与隐性个体进行杂交,根据后代判断分析其基因型,如果后代无性状分离,则说明黄圆是纯合,否则出现性状分离,哪一种性状出现分离就说明控制哪一种性状的基因是杂合的。(2)豌豆是自花传粉、闭花授粉植物,所以进行自交实验是最好的办法。

综评:

生物:

试卷难度:中等

特点:综合性很好,试题覆盖面较好,突出了主干,与生产生活实际联系密切,注重了实验能力的考查。

难题:第5,31题

创新题: 5,30,31

适用时间:二轮复习结束的能力检测,5月份

化学:本套试题总体来看属于中等难度。试题注重了对基础知识和基本技能的考查,特别是对主干知识的考查,同时考查学生的审题能力、思维能力及对信息的分析挖掘能力等。该套试题中非选择题新题较多,很多题目都是经过精心设计的,如第27,28题,综合性较强,一个题能考查多个知识点。该套试卷适合二轮复习结束时使用。

物理:

试卷难度:适中

考查范围:考查高中所有范围

难题:无

创新题:第20题

适用时间:二轮复习结束

(华道宽 张尚伟 鲁广智)

试题详情

30.(每空2分)(1)初始pH 用pH=7的磷酸缓冲液代替自来水 用新鲜肝匀浆代替自来水

(2)15、20、25 缺少不滴加HCl的记录项 缺少加入0.1 mol/L NaOH的记录栏

(3)生物体维持pH稳定可能与生物体组织中含有的磷酸缓冲溶液有关

(4)神经系统和体液(和免疫) 温度 (5)A

[解析](1)测定pH的变化,需要测量初始pH。实验的目的就是探究生物体维持pH稳定的机制,其变量就是缓冲液,所以要把实验组的自来水换成缓冲液和新鲜的肝匀浆。(2)由实验步骤可知,加入酸碱试剂时的梯度变化就是5滴,所以可以推知a、b、c的含义。记录缺少起始的pH记录和滴加氢氧化钠时的pH变化记录。(3)实验假设就是依据实验目的进行的,分析实验步骤就可以推出实验假设。(4)考查稳态的概念和实例。(5)抗毒素是抗体的一种,其作用是与外毒素结合,降低其毒性,而非水解外毒素。

试题详情

29.(16分)

(1)③赶走装置中含有水蒸气和二氧化碳的空气(2分);K1 K2(2分);K3(2分)

⑤3Na2CO3·2NaHCO3·H2O(3分)

(2)CaCl2溶液(或BaCl2溶液);过滤;沉淀(每空1分,共3分)

(3)问题讨论:①防止空气中的水蒸气、二氧化碳等酸性气体进入D装置而影响测定结果。(2分)

②偏大(3分)

[解析]本题是一道实验题,实验目的是确定某天然碱的化学组成,中等难度。(1)实验步骤③中缓缓鼓入空气数分钟,目的是为了赶走装置中含有水蒸气和二氧化碳的空气。方法是打开活塞K1K2,关闭活塞K3。加热天然碱时碳酸氢钠分解生成二氧化碳和水,由U形管D的质量差可得生成的二氧化碳的质量为1.1 g,物质的量为0.025 mol,可计算出碳酸氢钠生成的水的物质的量为0.025 mol。由浓硫酸的质量差可求得到的水的总质量为0.9 g,物质的量为0.05 mol,所以12.6 g天然碱中含有的水的物质的量为0.025 mol,质量为0.45 g,碳酸氢钠的物质的量为0.05 mol,质量为4.2 g,所以含有碳酸钠的质量为12.6 g-0.45 g-4.2 g=7.95 g,其物质的量为0.075 mol,所以abc=3∶2∶1,该天然碱的化学式为3Na2CO3·2NaHCO3·H2O。(2)确认样品中含有碳酸根离子,可取少量样品溶于水,滴加氯化钙溶液,过滤并洗涤后,取生成的沉淀加入足量盐酸,产生无色无味能使澄清石灰水变混浊的气体。(3)设置E装置的目的是防止空气中的水蒸气、二氧化碳等气体进入D装置而影响测定结果。实验结束时B中反应管右侧有水蒸气冷凝,则计算出的水的质量偏小,碳酸氢钠的质量偏小,所以测得的ab的比值会偏大。

试题详情

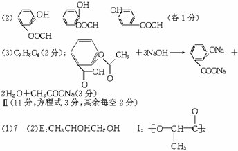
28.Ⅰ(10分)(1)羟基、羧基(各1分)

(3)取代(或水解)

(4)丙烯的加聚反应方程式。

[解析]本题考查水杨酸的结构及性质,同时还考查了有机物的合成,中等难度。Ⅰ.(1)由水杨酸的结构简式知水杨酸具有的官能团的名称是羟基和羧基。(2)与水杨酸互为同分异构体,既属于酚类又属于酯类化合物的物质有三种,酚羟基与酯基在苯环上分别为邻位、间位和对位。(3)根据键线式的表示方法可得阿司匹林的分子式为C9H8O4,阿司匹林中含有羧基和酯基,与氢氧化钠反应时酯基水解得到的羟基为酚羟基,酚羟基也能与氢氧化钠反应,所以1 mol阿司匹林可以跟3 mol氢氧化钠反应。Ⅱ.由E的分子式可知B的结构简式应为CH2===CHCH3,所以可能在同一平面上的原子最多有7个。B聚合生成C,则C为聚丙烯。B跟溴单质发生加成反应生成D,D在氢氧化钠溶液条件下发生取代反应生成E,所以生成的E的结构简式为CH3CHOHCH2OH。E经两步氧化和一步还原反应生成H,则H为CH3CHOHCOOH,H在一定条件下可发生缩聚反应生成Ⅰ,所以Ⅰ为缩聚产物。

试题详情

27.(11分,方程式3分,其余每空2分)(1)CuO;第一周期、第ⅠA族

(2)3Fe+4H2OFe3O4+4H2

(3)略(A是镁,E是二氧化碳)

2Mg+CO22MgO+C(其他合理答案也给分)

[解析]本题是一道无机推断题,考查铁、镁等物质的性质,中等难度。(1)C为单质且为红色固体,可推知C为铜,B为气体,且E为黑色固体,所以B为氧气,E为氧化铜,由A、B、D、E的转化关系可知A为氢气,氢元素在周期表中第一周期第ⅠA族。(2)A为金属单质,D为黑色晶体,可推知A为铁,D为四氧化三铁,B是氧气。C也为气体,E为常见的液态物质,所以C为氢气,E为水。A与E的反应方程式为3Fe+4H2O(g)Fe3O4+4H2。(3)C为黑色非金属固体,则C为碳,B可能是氧气,A可能是镁,碳与氧气生成二氧化碳,镁与氧气生成氧化镁,镁与二氧化碳又可生成氧化镁,所以镁与二氧化碳的反应方程式为2Mg+CO22MgO+C。

试题详情

26.(9分)(1)C(2分) (2)3(2分) (3)A(2分)

(4)B(OH)3+H2OB(OH)+H+(3分)

[解析]本题考查硼酸的结构与性质,中等难度。(1)硼元素的非金属性比较弱,所以其最高价含氧酸应为弱酸。(2)在硼酸分子中,最外层达到8电子稳定结构的原子只有氧原子,所以有3个原子。(3)中和0.01 mol硼酸所需氢氧化钠的物质的量为0.01 mol,所以可推测硼酸是一元酸。(4)硼和铝在同一主族,性质具有相似性,所以硼酸溶液呈酸性的原因是:B(OH)3+H2OB(OH)+H+

试题详情


同步练习册答案