题目列表(包括答案和解析)

 0  120166  120174  120180  120184  120190  120192  120196  120202  120204  120210  120216  120220  120222  120226  120232  120234  120240  120244  120246  120250  120252  120256  120258  120260  120261  120262  120264  120265  120266  120268  120270  120274  120276  120280  120282  120286  120292  120294  120300  120304  120306  120310  120316  120322  120324  120330  120334  120336  120342  120346  120352  120360  447348 

5.将8个数从左到右排成一行,从第3个数开始,每个数恰好等于它前面两个数之和,如果第7个数和第8个数分别是81,131,那么第1个数是_________ 。

试题详情

2.设A和B都是自然数,并且满足 那么,A+B=_________ 。

3.有三个圆心相同的半圆,它们的直径分别是1,3,5,用线段分割成8块(如图所示)。如果每块的字母代表这一块的面积,并且相同字母表示相同的面积,那么A:B_________ 。

4.在右边方格表的每个方格中,填入一个数字,使得每行、每列以及两条对角线上的四个方格中的数字都是1,3,5,7,那么表中带★的两个方格中的数字之和等于_________ 。

试题详情

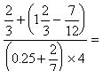
1.计算: _________ 。

试题详情

12.已知甲校学生人数是乙校学生人数的40%,甲校女生人数是甲校学生人数的30%,乙校男生人数是乙校学生人数的42%,那么, 两校女生总数占两校学生总数的百分比等于______ 。

预赛(B)卷

试题详情

11.某工厂的27位师傅共带40名徒弟,每位师傅可以带一名徒弟、两名徒弟或三名徒弟,如果带一名徒弟的师傅的人数是其他师傅人数的两倍,那么带两名徒弟的师傅有______ 位。

试题详情

10.甲、乙、丙三人进行200米赛跑,当甲到达终点时,乙离终点还有20米,丙离终点还有25米,如果甲、乙、丙赛跑时的速度都不变,那么,当乙到达终点时,丙离终点还有_________ 米。

试题详情

9.甲、乙两厂共同完成了一批机床的生产任务,已知甲厂比乙厂少生产8台机床,并且甲厂的生产量是乙厂的12/13,那么甲、乙两厂共生产了机床_________ 台。

试题详情

8.张师傅以1元钱3个苹果的价格买进苹果若干个,又以2元钱5个苹果的价格将这些苹果卖出去,如果他要赚得10元钱利润,那么他必须卖出苹果_________ 个。

试题详情

7.已知两个四位数的差等于8921(如右上图所示),那么这两个四位数的和最大值是_________ 。

试题详情

12.从甲市到乙市有一条公路,它分成三段,在第一段上,汽车速度是每小时40千米,在第二段上,汽车速度是每小时90千米,在第三段上,汽车速度是每小时50千米。已知第一段公路的长恰好是第三段的2倍,现在两辆汽车分别从甲、乙两市同时出发,相向而行,1小时20分后,在第二段的1/3处(从甲到乙方向的1/3处)相遇,那么,甲、乙两市相距_________ 千米。

试题详情


同步练习册答案