题目列表(包括答案和解析)

 0  77399  77407  77413  77417  77423  77425  77429  77435  77437  77443  77449  77453  77455  77459  77465  77467  77473  77477  77479  77483  77485  77489  77491  77493  77494  77495  77497  77498  77499  77501  77503  77507  77509  77513  77515  77519  77525  77527  77533  77537  77539  77543  77549  77555  77557  77563  77567  77569  77575  77579  77585  77593  447348 

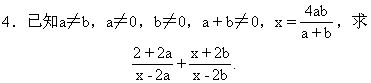
3.已知:

 (y-z)2+(z-x)2+(x-y)2

 =(x+y-2z)2+(y+z-2x)2+(z+x-2y)2

 

 

 的值.

 

  

本资料由《七彩教育网》 提供!

试题详情

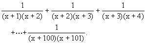
2.计算:

 

试题详情

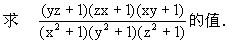
1.化简分式:

 

试题详情

40.解析:根据题意写出化学反应方程式:

  

   80     64

设原混合物中金属铜有x克,则含有氧化铜(2-x)克结果中新生成氧化铜(1.8-x)克,由题意,列方程为:,解得x=1.经检验x=1是所列方程的根.答:原混合物中金属铜有1克.

点评:这是一道数字与化学学科的综合题,本题既考查了化学反应的生成和对元素式量的记忆,也考查了学生利用列分式方程解决问题的能力,这是今后中考命题的趋势,意在考查学生学科间知识的综合应用水平.

本资料由《七彩教育网》 提供!

试题详情

39.解析:设王老师步行的速度是x千米/时,则骑自行车的速度是3x千米/时, 20分钟=小时,由题意,得,解得x=5.经检验x=5是所列方程的根,∴3x=3×5=15(千米/时).答:王老师步行的速度是5千米/时,骑自行车的速度是15千米/时.点评:①王老师骑自行车接小刚所走路程易错以为是(3+0.5)千米. ②行程问题中的单位不统一是个易忽略点.

试题详情

38.解析:设甲队单独完成此项工程需2x天,则乙队需要3x天,由题意,得

, 解之得x=2,经检验,x=2是所列分式方程的根.∴2x=2×2=4,3x=3×2=6.答:甲队单独完成需4天,乙队需6天.点拨:①本题使用了“参数法”, 当题目中出现两个量的比值时,使用这一方法比较简便;②因为效率与时间成反比, 所以本题易错设为:“甲单独完成需3x天,乙需2x天”;③验根极易被忽略.

试题详情

37.(1).(2)分式减法,对消

(3)解析:将分式方程变形为

整理得,方程两边都乘以2x(x+9),得2(x+9)-2x=9x,解得x=2.

经检验,x=2是原分式方程的根.

点评:此方程若用常规方法来解,显然很难, 这种先拆分分式化简后再解分式方程的方法不失是一种技巧.

试题详情

34.   35.   36.

试题详情

33.解析:原方程可变形为.方程两边都乘以最简公分母(x-2),得1+1-x=-3(x-2),解这个整式方程, 得x=2,把x=2代入公分母,x-2=2-2=0,x=2是原方程的增根,所以,原方程无实数解.

点评:验根是解分式方程的易忽略点.

试题详情

31 解析:原式=

      =

点评:①学习了解分式方程之后,在进行分式的化简计算时, 易错将本该通分的运算变成了去分母;②进行分式的化简计算应进行到最简分式为止,本题还易错将当成最后结果.

32.解析:原式=

      =

点评:熟练而准确的因式分解是进行分式化简的重要保证,分式的加、减、乘、除混合运算易出现运算顺序方面的错误.

试题详情


同步练习册答案