题目列表(包括答案和解析)

 0  77404  77412  77418  77422  77428  77430  77434  77440  77442  77448  77454  77458  77460  77464  77470  77472  77478  77482  77484  77488  77490  77494  77496  77498  77499  77500  77502  77503  77504  77506  77508  77512  77514  77518  77520  77524  77530  77532  77538  77542  77544  77548  77554  77560  77562  77568  77572  77574  77580  77584  77590  77598  447348 

4.如果△ABC的周长为40米(m),以A,B,C三点为圆心,作三个半径为1米的圆轮,带动圆轮转动的皮带长为l,试求l的长度.

本资料由《七彩教育网》 提供!

试题详情

3.在题1中,如果考虑直线l和平行四边形更一般的关系(如平行四边形变成圆,或某一中心对称图形,垂线AA',BB',CC',DD'只保持平行等),那么又有什么结论,试作出你的猜想和证明.

试题详情

2.在上题中,如果移动直线l,使它与四边形ABCD的位置关系相对变动得更特殊一些(如l过A,或l交AB,BC等),那么,相应地结论会有什么变化?试作出你的猜想和证明.

试题详情

1.如图2-112.已知由平行四边形ABCD各顶点向形外一条直线l作垂线,设垂足分别为A',B',C',D'.求证:

'A+B'B=C'C+D'D.

试题详情

2.特殊化、一般化在解题中的应用

 例1 设x,y,z,w为四个互不相等的实数,并且

 求证:x2y2z2w2=1

 分析与解 我们先考虑一个特例,只取两个不同实数,简化原来命

 (1)求证这个特殊化的辅助问题就容易多了.事实上,因为

 又因为

 到原命题,由

 容易想到变形

 去分母变形为

 ①×②×③×④,并约去(x-y)(y-z)(z-w)(w-x)(利用x,y,z,w互不相等)就得到

x2y2z2w2=1.

 例2 设凸四边形O1O2O3O4的周长为l,以顶点O1,O2,O3,O4为圆心作四个半径为R的圆轮.如果带动四个圆轮转动的皮带长为s,求s的长度(图2-110).

 

 解(1)先解一个特例(图2-111).设只有两个圆轮⊙O1,⊙O2,2│O1O2│=l'.显然,带动两轮转动的皮带长度为

s=l'+2πR.

 (2)再回到原题,我们猜想:

s=l+2πR.

 以下证实这个猜想是正确的.

 为此,设皮带s与各圆轮接触的四个弧为

 由于它们是等圆上的弧,因此,只要证出这四条弧恰好组成一个圆即可.

 事实上,引O1A'3∥O2A3,由于O1A1∥O2A2,所以∠A1O1A'    O1为圆心,以R为半径的圆.因此,四圆弧之长为2πR.又因为O1O2=A1A2,O2O3=A3A4,O3O4=A5A6,O1O4=A7A8,所以

l=A1A2+A3A4+A5A6+A7A8

 所以,所求皮带长为

s=l+2πR.

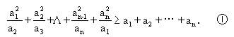
 例3 设a1,a2,…,an都是正数.试证:

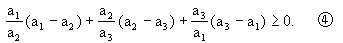
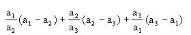
 证 欲证①成立,先考虑最简单的情形,设n=3,即证

 把②变形为

 即证

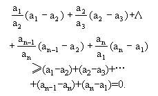
 由于④中左边有(a1-a2),(a2-a3),(a3-a1),其和为零,因此,我们猜想:若④式左边相加,其和不小于(a1-a2),(a2-a3),(a3-a1)之和即可.为此,我们证更简单的事实.

 设a,b是任意正整数,则有

 事实上,由(a-b)2≥0有

a2-ab≥ab-b2

 

 根据⑤,④显然成立,因为

≥(a1-a2)+(a2-a3)+(a3-a1)≥0,

 从而③式成立,②式成立.

 剩下来的工作是把②式推到一般情形①,这是很容易的.因为根据⑤,①式必然成立,因为

练习十九

试题详情

1.特殊化、一般化和类比推广

 命题1 在△ABC中,∠C=90°,CD是斜边上的高(图2-102),则有CD2=AD·BD.

 这是大家所熟知的直角三角形射影定理.

 类比命题1,如果CD是斜边上的中线,将怎样?由此得到命题2.

 命题2 在△ABC中,∠C=90°, CD是斜边上的中线(图2-103),则有CD=AD=BD.

 这便是大家已经学过的直角三角形中的斜边中点定理(在此定理中仍保持CD2=AD·BD).

 再类比,如果CD是∠C的平分线,将怎样?于是得到命题3.

 命题3 在△ABC中,∠C=90°,CD是∠C的平分线(图2-104),则有

 这是一个新命题,证明如下.

 引DE⊥BC于E,DF⊥AC于F.

 因为

 所以

  

 我们把命题1、命题2、命题3一般化,考虑D点是AB上任一点,便产生了以下两个命题.

 命题4 在△ABC中,∠C=90°,D是斜边AB上的任一内分点(图2-105),则有

 证 引DF⊥AC于F,DE⊥BC于E.因为

CD2-BD2=CE2-BE2=(CE-BE)BC,

 而

 所以

 所以

 即

 命题5 在△ABC中,∠C=90°,D是斜边AB上的任一外分点(图2-106),则有

 证 只要令命题4之结论中AD为-AD,则有

  

 我们再把命题4和命题5特殊化,令D点与A点重合(即│AD│=0),那么无论是①式或②式都有

AB2=BC2+AC2.

 这就是我们熟知的勾股定理.

 命题4或命题5与通常形式下的广勾股定理是等效的,因此,它们也可称作广勾股定理.下面用命题4或命题5来证明以下定理.

 定理 在△ABC中,AB=c,BC=a,AC=b,a在c上的射影为n,

 时,取“-”号,∠B为钝角时,取“+”号).

 证 我们仅利用命题4证图2-107中的情况(∠B<90°).

 为此,我们作图2-109,其中∠DBA=90°,CD=x,CE⊥DB于E,并设CE=n.由命题4,立得

 

 得

 

 

 所以

b2=a2+c2-2cn.

 同理可证图2-108(∠B>90°)的相应结论.

试题详情

25.(本题满分4分)

学校在假期内对教室内的黑板进行整修,需在规定日期内完成.如果由甲工程小组做,恰好按期完成;如果由乙工程小组做,则要超过规定日期3天.结果两队合作了2天,余下部分由乙组独做,正好在规定日期内完成,问规定日期是几天?

附加题:国家对居民住宅建设明确规定:窗户面积必须小于卧室内地面面积,而且按采光标准,窗户面积必须与卧室内地面面积之比应该在15%左右,而且这个比值越大,采光条件越好,如果同时增加相等的窗户面积和地面面积,那么采光条件变好了还是变差了,请你运用数学知识这个回答问题。

试题详情

24.(本题满分5分)

某商场销售某种商品,第一个月将此商品的进价加价20%作为销售价,共获利6000元,第二个月商场搞促销活动,将商品的进价加价10%作为销售价,第二个月的销售量比第一个增加了100件,并且商场第二个月比第一个月多获利2000元,问此商品进价是多少元?商场第二个月共销售多少件?

试题详情

23、解方程(5)

(1)        (2)

试题详情

22.已知(a+)(-1)÷,其中a=99,求原式的值.(6分)

试题详情


同步练习册答案