题目列表(包括答案和解析)

 0  77488  77496  77502  77506  77512  77514  77518  77524  77526  77532  77538  77542  77544  77548  77554  77556  77562  77566  77568  77572  77574  77578  77580  77582  77583  77584  77586  77587  77588  77590  77592  77596  77598  77602  77604  77608  77614  77616  77622  77626  77628  77632  77638  77644  77646  77652  77656  77658  77664  77668  77674  77682  447348 

4.在凸五边形ABCDE中,SABC=SBCD=SCDE=SDEA=SEAB=1,CE与AD相交于F,求S△CFD.

试题详情

3.已知点P,Q,R分别在△ABC的边AB,BC,CA上,且BP=PQ=QR=RC=1,求△ABC的面积的最大值.

试题详情

2.E,F分别在矩形ABCD的边BC和CD上,若△CEF,△ABE,△ADF的面积分别是3,4,5,求△AEF的面积.

试题详情

1.填空:

 ________.

 (2)一个三角形的三边长都是整数,周长为8,则这个三角形的面积是________.

 (3)四边形ABCD中,∠A=30°,∠B=∠D=90°,AB=AD,AC=1,则四边形ABCD的面积是______.

 (4)梯形ABCD中,AB∥CD,对角线AC与BD相交于O.若SABO=p2,SCDO=q2,则SABCD=____.

  ABC=40.若BE,CD相交于F,则SDEF=______.

试题详情

2.利用面积解题

 有的平面几何问题,虽然没有直接涉及到面积,然而若灵活地运用面积知识去解答,往往会出奇制胜,事半功倍.

 例6 在△ABC内部或边界上任取一点P,记P到三边a,b,c的距离依次为x,y,z.求证:ax+by+cz是一个常数.

 证 如图2-132,连结PA, PB,PC,把△ABC分成三个小三角形,则

 SABC=SPAB+SPCB+SPCA

  

 所以 ax+by+cz=2SABC

 即ax+by+cz为常数.

 说明 若△ABC为等边三角形,则

 此即正三角形内一点到三边的距离和为常数,此常数是正三角形的高.

 例7 如图2-133,设P是△ABC内任一点,AD,BE,CF是过点P且分别交边BC,CA,AB于D,E,F.求证:

 证 首先,同例2类似,容易证明

  

  

 

 

 说明 本例的结论很重要,在处理三角形内三条线交于一点的问题时,常常可以用这一结论去解决.

 例8 如图2-134,已知D,E,F分别是锐角三角形ABC的三边BC,CA,AB上的点,且AD,BE,CF相交于点P,AP=BP=CP=6,设PD=x,PE=y,PF=z,若xy+yz+zx=28,求xyz的值.

 解 由上题知

 

 

 去分母整理得

 3(xy+yz+zx)+36(x+y+z)+324

 =xyz+6(xy+yz+zx)+36(x+y+z)+216,

 所以 xyz=108-3(xy+yz+zx)=24.

练习二十二

试题详情

1.有关图形面积的计算和证明

 解 因为CD⊥AB,AC=CB,且△ABD内接于半圆,由此可得 

 所以,阴影部分AEFBDA的面积是

 

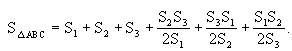
 例2 已知凸四边形ABCD的对角线AC,BD相交于点O,且△ABC,△ACD,△ABD的面积分别为S1=5,S2=10,S3=6.求△ABO的面积(图2-128).

 解 首先,我们证明△ABC与△ACD的面积比等于BO与DO的比.过B,D分别作AC的垂线,垂足为E,F.于是Rt△BEO

 

 由题设

 设SAOB=S,则

 所以

 例3 如图2-129,AD,BE,CF交于△ABC内的一点P,并将△ABC分成六个小三角形,其中四个小三角形的面积已在图中给出.求△ABC的面积.

 分析 如果能把未知的两个小三角形的面积求出,那么△ABC的面积即可得知.根据例1,这两个面积是不难求出的.

 解 设未知的两个小三角形的面积为x和y,则

 即

 又

 即

 ①÷②得

 再由②得x=56.因此

 SABC=84+70+56+35+40+30=315.

 例4 如图2-130,通过△ABC内部一点Q引平行于三角形三边的直线,这些直线分三角形为六个部分,已知三个平形四边形部分的面积为S1,S2,S3,求△ABC的面积.

 解 为方便起见,设

 S△QDG=S′1,S△QIE=S′2,S△QFH=S′3,则

 所以

 同理可得

 从①,②,③中可以解得

 所以

 

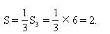
 例5 在一个面积为1的正方形中构造一个如图2-131所示的正方形:将单位正方形的每一条边n等分,然后将每个顶点和它相对的顶点最接近的分点连接起来.如果小正方形(图中阴影部分)的面积恰

 解 如图2-131,过F作BC的平行线交BG于H,则∠GHF=∠CED,∠FGH=∠DCE=90°,故

 

  

 n2-n-90=0,

 所以n=10.

试题详情

4.某市场调查员在某超市随机调查了一些顾客的购物的时间,并将调查的数据绘制成频数分布直方图,如图所示.

   (1)共有多少位顾客接受调查?

   (2)哪组的顾客人数最多?频率是多少?

   (3)绘制频数分布折线图.

试题详情

3.某罐头厂对其生产的沙丁鱼罐头质量进行抽样检查,抽取的20只罐头质量(单位:克)如下:

   200  205  208  201  215  190  193  206  215  198  206  216  208

   212  223  199  193  208  204  200

   (1)请选择适当的组距,绘制频数分布折线图.

(2)如果将200克及以上质量的罐头视作合格,当合格率达到60%时,认为机器运转正常,请问当前机器是否运转正常?

试题详情

2.绘制3.2节课时训练第4题的频数分布折线图.

试题详情

1.一个样本分成5个组,第一、二、三组共有190个数据,第三、四、五组共有230个数据,且第三组的频率是0.20,则第三组的频数是(  ).

   (A)50   (B)60   (C)70   (D)80

试题详情


同步练习册答案