题目列表(包括答案和解析)

 0  93964  93972  93978  93982  93988  93990  93994  94000  94002  94008  94014  94018  94020  94024  94030  94032  94038  94042  94044  94048  94050  94054  94056  94058  94059  94060  94062  94063  94064  94066  94068  94072  94074  94078  94080  94084  94090  94092  94098  94102  94104  94108  94114  94120  94122  94128  94132  94134  94140  94144  94150  94158  447348 

1. 下列命题中,一定正确的是(  )

A.若,且,则B.若,则

  C.若,且,则  D.若,且,则

试题详情

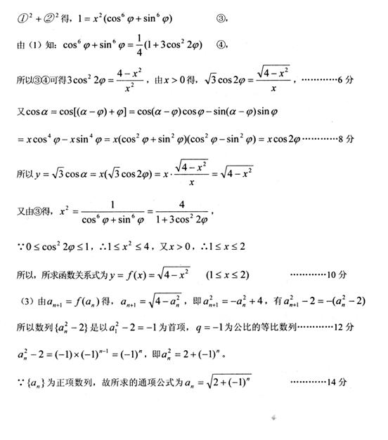
22. (本题满分14分)

   已知向量

(1)求的取值范围;

(2)设,求的函数关系式,并指出其定义域;

(3)设正项数列满足,求数列的通项公式

试题详情

21.(本题满分12分)

   设的内角所对边长分别为,且

(1)求的值;

(2)若的面积,求的周长的最小值。

试题详情

20. (本题满分12分)

   已知函数的部分图像如图所示。

(1)求的解析式;

(2)若,求的取值集合。

试题详情

19. (本题满分12分)

   已知的夹角为120°。

(1)求的值;

(2)是否存在实数使,若存在,求出的值;若不存在,说明理由。

试题详情

18. (本题满分10分)

   如图,平行四边形中,分别是的中点,相交于点。若,试以为基底表示

试题详情

17. (本题满分10分)

   求证:

试题详情

16. 设,给出下列四个命题:

   ①函数在区间上是减函数;

   ②直线是函数图像的一条对称轴;

   ③函数的图像可由函数的图像向左平移个单位而得到;

   ④函数的最小正周期是

其中正确命题的序号是      

试题详情

15. 已知,则实数的最小值是      

试题详情

14. 向量在向量方向上的投影为        

试题详情


同步练习册答案