题目列表(包括答案和解析)

 0  93903  93911  93917  93921  93927  93929  93933  93939  93941  93947  93953  93957  93959  93963  93969  93971  93977  93981  93983  93987  93989  93993  93995  93997  93998  93999  94001  94002  94003  94005  94007  94011  94013  94017  94019  94023  94029  94031  94037  94041  94043  94047  94053  94059  94061  94067  94071  94073  94079  94083  94089  94097  447348 

3.若对于任何实数,二次函数的值恒为负,那么应满足(   )

  A.a>0且ac≤           B.a<0且ac< 

  C.a<0且ac>           D.a<0且ac<0

试题详情

2.已知数列是它的第(   )项

A. 19      B.20         C. 21      D .22

试题详情

1.在中, 已知,则角的度数为(   )

   A.      B.        C.      D.

试题详情

22. 已知向量=(sinθ,1),=(1,cosθ), -<θ<.

(1)若,求θ;

(2)求的最大值.  (12分)

试题详情

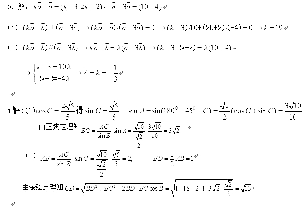
21.在

(1)求边的长;

(2)若点  (12分)

试题详情

20.已知,

(1)若垂直,求k;     (2)若平行,求k.   (12分)

试题详情

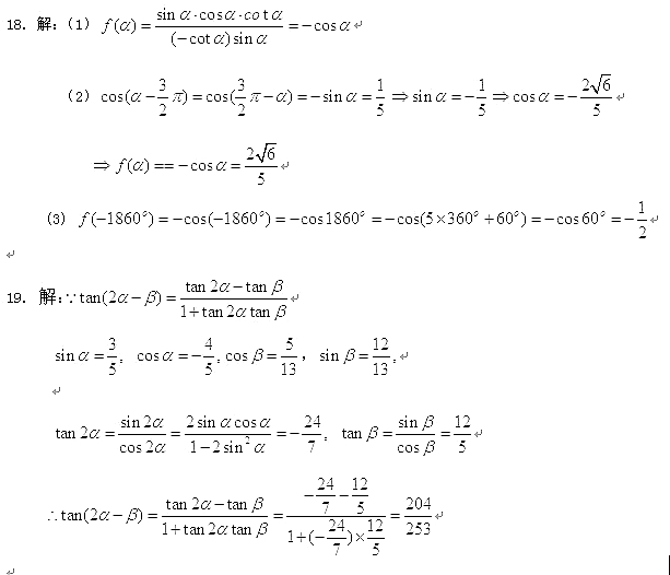
19.已知为第二象限角,为第一象限角,.求.(12分)

试题详情

18.已知

(1)化简

(2)若,求的值;

(3)求.      (12分)

试题详情

17.已知函数

(1)求的最小正周期、最小值及取得最小值时相应的值;

(2)求函数的单调增区间。   (10分)

试题详情

16.已知,则    __________

试题详情


同步练习册答案