题目列表(包括答案和解析)

 0  94011  94019  94025  94029  94035  94037  94041  94047  94049  94055  94061  94065  94067  94071  94077  94079  94085  94089  94091  94095  94097  94101  94103  94105  94106  94107  94109  94110  94111  94113  94115  94119  94121  94125  94127  94131  94137  94139  94145  94149  94151  94155  94161  94167  94169  94175  94179  94181  94187  94191  94197  94205  447348 

1.已知全集U={1,2,3,4,5,6},A={1,2,3,4},B={3,4,5,6},那么CU(A∩B)=(    )

(A){3,4}  (B){1,2,5,6}  (C){1,2,3,4,5,6}   (D)Φ

试题详情

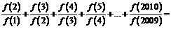
16、 如果函数满足:对任意实数都有,且

_____________________.   

林头中学2009-2010年度第一学期高一第一次月考

试题详情

15.已知二次函数的图像恒过点(2,0),则 的最小值为    

试题详情

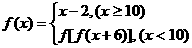
14.已知函数f(x)=的定义域为R,则实数m值为   

试题详情

13. 已知ab为常数,若则5ab =   

试题详情

12. 不等式的解集是             

试题详情

11. 设集合,,且,则实数的取值范围是      

试题详情

10、设集合A=, B=, 函数f(x)=若x, 且f [ f (x)],则x的取值范围是(    )

A.    B.   C.    D.    

试题详情

9.已知函数f(x)是R上的增函数,A(0,-1),B(3,1)是其图像上的两点,那么的解集的补集为          (   )

A.(-1,)    B.(-5,1) 

C.[,   D.

试题详情

8. 设的值为(   )

A.  B.  C.  D.

试题详情


同步练习册答案