题目列表(包括答案和解析)

 0  93984  93992  93998  94002  94008  94010  94014  94020  94022  94028  94034  94038  94040  94044  94050  94052  94058  94062  94064  94068  94070  94074  94076  94078  94079  94080  94082  94083  94084  94086  94088  94092  94094  94098  94100  94104  94110  94112  94118  94122  94124  94128  94134  94140  94142  94148  94152  94154  94160  94164  94170  94178  447348 

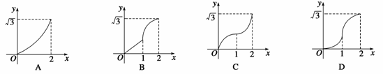
12.如右图所示,在直角坐标系的第一象限内,△AOB是边长为2

的等边三角形。设直线x=t(0≤t≤2)截这个三角形可得位于此

直线左方的图形的面积为f(t),则函数y=f(t)的图象(如下图所

示)大致是                  (   )

B卷(主观卷)

试题详情

11.已知函数,则=             (   )

A.         B.         C.          D.

试题详情

10.函数y=log(x2-3x+2)的递增区间是      (   )                                 

    A.(-∞,1)       B.(2,+∞)      C.(-∞,)    D.( , +∞)

试题详情

9.右图为函数y=m+lognx的图象,其中mn为常数,则下

列结论正确的是              (   )

    A.m<0,n>1      B.m>0,n>1

    C.m>0,0<n<1   D.m<0,0<n<1

试题详情

8.定义在R上的偶函数满足:对任意的

,总有,则               (   )

    A.          B. 

C.          D.

试题详情

7.幂函数y=x-1及直线y=x,y=1,x=1将平面直角坐标系

的第一象限分成八个“卦限”:①、②、③、④、

⑤、⑥、⑦、⑧(如右图所示),那么幂函数y=x

的图象经过的“卦限”是       (    )                    

    A.④⑦       B.④⑧  

    C.③⑧        D.①⑤

试题详情

6.函数f(x)=的零点所在的区间是                      (   )

    A.(0,)      B.(,1)      C.(1,)      D.(,2)

试题详情

4.若函数是函数的反函数,其图像经过点,则                                                                                      (   )

    A.       B.      C.          D.

5下列大小关系正确的是                               (   )

    A.            B. 

     C.            D.

试题详情

3.函数的定义域是                        (   )                                

    A.        B.       C.       D.(,1)

试题详情

2.下列函数中,与函数y=x相同的函数是                       (   )

    A.y=     B.y=()2       C. y=lg10x         D.y=

试题详情


同步练习册答案