0  160054  160062  160068  160072  160078  160080  160084  160090  160092  160098  160104  160108  160110  160114  160120  160122  160128  160132  160134  160138  160140  160144  160146  160148  160149  160150  160152  160153  160154  160156  160158  160162  160164  160168  160170  160174  160180  160182  160188  160192  160194  160198  160204  160210  160212  160218  160222  160224  160230  160234  160240  160248  447090 

16.已知曲线,(其中R),当时,曲线表示的轨迹是___________。当R,且≠1时,上述曲线系恒过定点____________。

试题详情

15.表示的直线平行,则=_______________。

试题详情

14.用秦九韶算法计算多项式,当时的值时,需要做乘法和加法的次数分别是___________,_____________。

试题详情

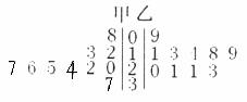
13.某篮球学校的甲、乙两名运动员练习罚球,每人练习10组,每组罚球40个。命中个数的茎叶图如下.则罚球命中率较高的是_____________。

试题详情

12.将直线向左平移3个单位,再向上平移2个单位得到直线,则直线之间的距离为(   )

A.           B.            C.              D.

第Ⅱ卷(非选择题  共90分)

试题详情

11.下图是一个程序框图,如果在条件框内填写上语句“>50”,那么这个程序是计算(   )

   A.1+2+3+…+50                      B.2+4+6+…+50

   C.1+2+3+…+49                      D.1+2+3+…+51

试题详情

10.直线与圆交于E、F两点,则△EOF(O为原点)的面积为(   )

A.              B.             C.            D.

试题详情

9.设点M是Z轴上一点,且点M到A(1,0,2)与点B(1,-3,1)的距离相等,则点M的坐标是(   )

   A.(-3,-3,0)  B.(0,0,-3)  C.(0,-3,-3)  D.(0,0,3)

试题详情

8.为了解l200名学生对学校某项教改试验的意见,打算从中抽取一个容量为30的样本,考虑采用系统抽样,则分段的间隔(抽样距)k为(   )

   A.40              B.30             C.20             D.12

试题详情

7.下列说法中,正确的是   (  )

   ①数据4、6、7、7、9、4的众数是4

   ②一组数据的标准差是这组数据的方差的平方

   ⑨数据3,5,7,9的标准差是数据6、10、14、18的标准差的一半

   ④频率分布直方图中各小长方形的面积等于相应各组的频数

   ⑤数据4、6、7、7、9、4的中位数是6.5

   A.①③           B.②④           C.③⑤           D.④⑤

试题详情


同步练习册答案