0  160265  160273  160279  160283  160289  160291  160295  160301  160303  160309  160315  160319  160321  160325  160331  160333  160339  160343  160345  160349  160351  160355  160357  160359  160360  160361  160363  160364  160365  160367  160369  160373  160375  160379  160381  160385  160391  160393  160399  160403  160405  160409  160415  160421  160423  160429  160433  160435  160441  160445  160451  160459  447090 

17、(本题满分12分,第1小题8分,第2小题4分)

   已知函数

(1)    求函数的周期;

(2)    函数的图象可由函数的图象经过怎样的变换得到?

试题详情

16、设函数的图象位于轴右侧所有的对称中心从左依次为,则的坐标是      

试题详情

15、设直线的方程为,将直线绕原点按逆时针方向旋转得到直线,则的方程是       

试题详情

14、已知实数满足约束条件  则 的最小值为    

试题详情

13、已知一个空间几何体的三视图如图所示,根据图中标出的尺寸(单位:),可得这个几何体的表面积是     

试题详情

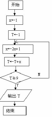
12、根据如图所示的算法流程图,可知输出的结果      

试题详情

11、一只蚂蚁在三边边长分别为3,4,5的三角形的边上爬行,某时刻该蚂蚁距离三角形的三个顶点的距离均超过的概率为     

试题详情

10、已知向量的夹角为,则     

试题详情

9、某校共有师生1600人,其中教师有100人,现用分层抽样的方法,从所有师生中抽取一个容量为80的样本,则抽取的学生为      

试题详情

8、各项均为实数的等比数列中,,则    

试题详情


同步练习册答案