0  160276  160284  160290  160294  160300  160302  160306  160312  160314  160320  160326  160330  160332  160336  160342  160344  160350  160354  160356  160360  160362  160366  160368  160370  160371  160372  160374  160375  160376  160378  160380  160384  160386  160390  160392  160396  160402  160404  160410  160414  160416  160420  160426  160432  160434  160440  160444  160446  160452  160456  160462  160470  447090 

7.一般来说,一个复杂的流程图都可以分解成_________、_________、__________三种结构;

试题详情

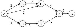
6.某成品的组装工序图如右,箭头上的数字表示组装过程中所需要的时间(小时),不同车间可同时工作,同一车间不能同时做两种或两种以上的工作,则组装该产品所需要的最短时间是(   )

A.11             B.13             C.15             D.17

试题详情

5.下面的程序框图的作用是按大小顺序输出两数,则括号处的处理可以是(   )

A.A←B:B←A.                     B.T←B:B←A.:A←T 

C.T←B:A←T :B←A.               D.A←B:T←A.:B←T

试题详情

4.下图是《集合》的知识结构图,如果要加入“子集”,则应该放在(   )

A.“集合的概念”的下位                 B.“集合的表示”的下位

C.“基本关系”的下位                   D.“基本运算”的下位

试题详情

3.下列对程序框图的描述,正确的是(   )

A.只有一个起点,一个终点              B.只有一个起点,一个或多个终点

C.多个起点,一个或多个终点            D.多个起点,只有一个终点

试题详情

2.下列的流程图示中表示选择结构的是(   )

 

试题详情

1.下列流程图的基本符号中,表示判断的是(   )

试题详情

18.旅馆里住着6位旅客,他们分别来自:北京B.、天津(T)、上海(S)、扬州(Y)、南京(N)和杭州(H).

他们分别姓赵、钱、孙、李、周和吴,还知道:(1)老赵和北京人都是医生,老周和天津人都是教师,老孙和上海人都是工程师;(2)扬州人和老钱、老吴都是退伍军人,而上海人从未参过军;(3)南京人和扬州人都比老赵岁数大,杭州人人比老钱的岁数大,老吴最年轻;(4)老钱和北京人将一起去扬州,老孙和南京人要去广州.

试根据条件确立每位旅客的籍贯.

试题详情

17.若有A、B、C三个不同大小的数字,你能设计一个算法,找出其中的最大值吗?试给出解决问题的一种算法,并画出流程图.

试题详情

16.已知复数z1满足(1+i)z­1=-1+5i, z­2=a-2-i, 其中i为虚数单位,a∈R, 若<|z1|,求a的取值范围.

试题详情


同步练习册答案