0  165612  165620  165626  165630  165636  165638  165642  165648  165650  165656  165662  165666  165668  165672  165678  165680  165686  165690  165692  165696  165698  165702  165704  165706  165707  165708  165710  165711  165712  165714  165716  165720  165722  165726  165728  165732  165738  165740  165746  165750  165752  165756  165762  165768  165770  165776  165780  165782  165788  165792  165798  165806  447090 

7.已知a1>a2>a3>0,则使得(1- aix)2<1(i=1,2,3)都成立的x取值范围是

A.(0,)       B.(0,)       C.(0,)       D.(0,)

试题详情

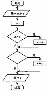
6.下面的程序框图,如果输入三个实数a, b, c,要求输出这三个数中最大的数,那么在空白的判断框中,应该填入下面四个选项中的

A.c>x             B.x>c             C.c>b             D.b>c

试题详情

5.已知平面向量垂直,则

A.-1              B.1               C.-2             D.2

试题详情

4.设,若,则=

A.              B.              C.            D.

试题详情

3.已知复数,则=

A.2                B. -2             C. 2             D.-2

试题详情

2.双曲线的焦距为

A.            B.            C.            D.

试题详情

合题目要求的.

1.已知集合M={},N={},则MN=

A.(-1,1)        B.(-2,1)        C.(-2,-1)      D.(1,2)

试题详情

(17)(本小题满分13分,(Ⅰ)小问6分,(Ⅱ)小问7分)

的内角A,B,C的对边分别为a , b, c,且A=c=3b.求:

(Ⅰ)的值;

(Ⅱ)cotB+cot C的值.

(18)(本小题满分13分,(Ⅰ)小问5分,(Ⅱ)小问8分.)

甲、乙、丙三人按下面的规则进行乒乓球比赛:第一局由甲、乙参加而丙轮空,以后每一局由前一局的获胜者与轮空者进行比赛,而前一局的失败者轮空.比赛按这种规则一直进行到其中一人连胜两局或打满6局时停止.设在每局中参赛者胜负的概率均为,且各局胜负相互独立.求:

(Ⅰ)打满3局比赛还未停止的概率;

(Ⅱ)比赛停止时已打局数的分别列与期望E.

(19)(本小题满分13分,(Ⅰ)小问6分,(Ⅱ)小问7分.) 

如图,在中,B=,AC=,D、E两点分别在AB、AC上.使

,DE=3.现将沿DE折成直二面角,求:

(Ⅰ)异面直线AD与BC的距离;

(Ⅱ)二面角A-EC-B的大小(用反三角函数表示).     

(20)(本小题满分13分.(Ⅰ)小问5分.(Ⅱ)小问8分.) 

  设函数曲线y=f(x)通过点(0,2a+3),且在点(-1,f(-1))

处的切线垂直于y轴.

(Ⅰ)用a分别表示bc

(Ⅱ)当bc取得最小值时,求函数g(x)=-f(x)e-x的单调区间.

(21)(本小题满分12分,(Ⅰ)小问5分,(Ⅱ)小问7分.)

  如图,M(-2,0)和N(2,0)是平面上的两点,动点P满足:

(Ⅰ)求点P的轨迹方程;

(Ⅱ)若,求点P的坐标.

(22)(本小题满分12分,(Ⅰ)小问5分,(Ⅱ)小问7分.)

  设各项均为正数的数列{an}满足

(Ⅰ)若,求a3a4,并猜想a2co8的值(不需证明);

(Ⅱ)记恒成立,求a2的值及数列{bn}的通项公式.

试题详情

(11)设集合U={1,2,3,4,5},A={2,4},B={3,4,5},C={3,4},则(AB) =     .

(12)已知函数f(x)=,点在x=0处连续,则     .

(13)已知(a>0) ,则     .

(14)设Sn=是等差数列{an}的前n项和,a12=-8,S9=-9,则S16=     .

(15)直线l与圆x2+y2+2x-4y+a=0(a<3)相交于两点A,B,弦AB的中点为(0,1),则直线l的方程为     .

(16)某人有4种颜色的灯泡(每种颜色的灯泡足够多),要在如图所示的6个点A、B、C、A1B1、C1上各装一个灯泡,要求同一条线段两端的灯泡不同色,则每种颜色的灯泡都至少用一个的安装方法共有     种(用数字作答).

试题详情

(1)复数1+=  

A.1+2i            B.1-2i             C.-1              D.3

(2)设m,n是整数,则“m,n均为偶数”是“m+n是偶数”的

A.充分而不必要条件                   B.必要而不充分条件    

C.充要条件                           D.既不充分也不必要条件

(3)圆O1:和圆O2:的位置关系是

A.相离            B.相交            C.外切          D.内切     

(4)已知函数y=的最大值为M,最小值为m,则的值为

A.             B.              C.            D.

(5)已知随机变量服从正态分布N(3,),则

    A.              B.              C.             D.

(6)若定义在R上的函数f(x)满足:对任意x1,x2R有f(x1+x2)=f(x1)+f(x2)+1,,则下列说法一定正确的是

A.f(x)为奇函数                        B.f(x)为偶函数

C. f(x)+1为奇函数                     D.f(x)+1为偶函数

(7)若过两点P1(-1,2),P2(5,6)的直线与x轴相交于点P,则点P分有向线段所成的比的值为

A.-            B.-           C.             D.

(8)已知双曲线(a>0,b>0)的一条渐近线为y=kx(k>0),离心率e=,则双曲线方程为

A.=1                       B.

    C.                      D.

 (9)如图,体积为V的大球内有4个小球,每个小球的球面过大球球心且与大球球面有且只有一个交点,4个小球的球心是以大球球心为中心的正方形的4个顶点.V1为小球相交部分(图中阴影部分)的体积,V2为大球内、小球外的图中黑色部分的体积,则下列关系中正确的是

A.V1=          B. V2=          C.V1> V2          D.V1< V2

(10)函数f(x)=() 的值域是

A.[-]        B.[-1,0]               C.[-]         D.[-]

试题详情


同步练习册答案