0  165615  165623  165629  165633  165639  165641  165645  165651  165653  165659  165665  165669  165671  165675  165681  165683  165689  165693  165695  165699  165701  165705  165707  165709  165710  165711  165713  165714  165715  165717  165719  165723  165725  165729  165731  165735  165741  165743  165749  165753  165755  165759  165765  165771  165773  165779  165783  165785  165791  165795  165801  165809  447090 

14.一个六棱柱的底面是正六边形,其侧棱垂直底面,已知该六棱柱的顶点都在同一个球面上,且该六棱柱的高为,底面周长为3,那么这个球的体积为___________。

试题详情

13.已知{}为等差数列,,则=    .

试题详情

12.已知平面⊥平面=,点A,A,直线AB//,直线AC⊥,直线,则下列四种位置关系中,不一定成立的是

A.AB//         B.AC⊥      C.AB//          D.AC⊥

第Ⅱ卷

本卷包括必考题和选考题两部分。第13题-第21题为必考题,每个试题考生都必须做答。第22题-第23题为选考题,考生根据要求做答。

试题详情

11.函数的最小值和最大值分别为  

A.-3,1         B.-2,2        C.-3,       D.-2,

试题详情

10.点P()在直线上,且满足,则点P到坐标原点距离的取值范围是

A.[0,5]          B.[0,10]         C.[5,10]        D.[5,15]

试题详情

9.平面向量a, b共线的充要条件是

A.a, b方向相同

B.a, b两向量中至少有一个为零向量

C.λ∈R,b=λa

D.存在不全为零的实数λ1,λ2,λ1a+λ2b=0

试题详情

8.设等比数列(an)的公比q=2,前n项和为Sn, 则=

A.2               B.4               C.              D.

试题详情

7.已知a1>a2>a3>0,则使得(1- aix)2<1(i=1,2,3)都成立的x取值范围是

A.(0,)       B.(0,)       C.(0,)       D.(0,)

试题详情

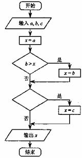
6.下面的程序框图,如果输入三个实数a, b, c,要求输出这三个数中最大的数,那么在空白的判断框中,应该填入下面四个选项中的

A.c>x             B.x>c             C.c>b             D.b>c

试题详情

5.已知平面向量垂直,则

A.-1              B.1               C.-2             D.2

试题详情


同步练习册答案