0  173462  173470  173476  173480  173486  173488  173492  173498  173500  173506  173512  173516  173518  173522  173528  173530  173536  173540  173542  173546  173548  173552  173554  173556  173557  173558  173560  173561  173562  173564  173566  173570  173572  173576  173578  173582  173588  173590  173596  173600  173602  173606  173612  173618  173620  173626  173630  173632  173638  173642  173648  173656  447090 

28.( 10分)

甲、乙两池电极材料都是铁棒与碳棒(如下图)。请回答下列问题:    

  (1)若两池中均盛放CuSO4溶液,反应一段时间后:

①有红色物质析出的是:甲池中的     棒;乙池中的      棒。

②在乙池中阳极的电极反应式是               

  (2)若两池中均盛放饱和NaCl溶液。

①写出乙池中发生总反应的离子方程式             

②将湿润的淀粉KI试纸放在乙池附近,发现试纸变蓝,待一段时间后又发现蓝色褪去,这是因为过量的Cl2将生成的I2氧化。若反应的Cl2和I2的物质的量之比为5:1,且生成两种酸。该反应的化学方程式为                 

试题详情

27.(10分)如图所示,A-J分别表示中学化学中常见的一种物质,它们之间的相互关系如下:A为坚硬难熔的主族元素的氧化物,B为黑色晶体

则(1)写出物质的化学式

B          F        

  (2)写出反应①、⑤的化学方程式

                                                                            

  (3)写出反应⑧的离子方程式                     

试题详情

26.(14分) U、V、W、X、Y、Z是原子序数依次增大的六种短周期元素。U的单质在W2中燃烧可生成UW和UW2两种气体。X的单质是一种金属,其在W2中燃烧可生成淡黄色固体。Z的单质在W2中燃烧的产物可使品红溶液褪色。Y的单质也是一种金属,该金属在UW2中剧烈燃烧能生成黑、白两种固体。

请回答下列问题:

  (1)V的单质分子的结构式为_________;Y W的电子式为_____   ____; 

  (2)U元素形成的同素异形体的晶体类型可能是(填序号)__________。

① 原子晶体   ② 离子晶体   ③ 分子晶体   ④ 金属晶体

  (3)U、V、W分别与氢元素可形成10电子氢化物。U、V的氢化物中沸点较低的是(写化学式)__     ;V、W的氢化物分子中结合H+能力较强的是(写化学式)___   ___,请用一个离子方程式加以证明_____     ____________。

  (4)已知通常状况下1g Z在W2中完全燃烧放出a kJ的热量,请写出表示Z燃烧热的热化学方程式                   

试题详情

25.下列有关实验的叙述中,不正确的有                                (   )

①乙酸乙酯中混有乙酸,可选用饱和 Na2CO3溶液洗涤,然后将两层液体分开;

②试管里加入少量淀粉,再加入一定量稀硫酸,加热3-4分钟,然后加入银氨溶液,片刻后管壁上有“银镜”出现;

③仅用蒸馏水就可鉴别蔗糖、硫酸铜粉末、碳酸钙粉末;

④溴乙烷与NaOH的乙醇溶液混合共热可得到乙烯;

⑤滴定时左手控制滴定管,右手握持锥形瓶,边滴边摇动锥形瓶,眼睛注视滴定管中的液面;

⑥用盐析法分离高级脂肪酸钠和甘油的混合溶液;

  ⑦用渗析法除去蛋白质胶体中混有的少量Na+和Cl-

82615205
 
A.①③           B.②⑤          C.④⑥         D.②⑦

第Ⅱ卷(非选择题,共60分)

试题详情

24.下图中,两电极上发生的电极反应为:a极:Cu2+ + 2 e= Cu    b极:Fe - 2 e= Fe2+

下列说法中不正确的是                        (   )

    A.该装置可能是电解池

  B.a极上一定发生还原反应

  C.a、b可能是同种电极材料

  D.该过程中能量的转换一定是化学能转化为电能

试题详情

23.下列溶液中各微粒的浓度关系正确的是                               (   )

  A.0.1 mol•L-1  NaHSO4溶液中:c(Na+)>c(SO42)>c(H+)>c(OH)

  B.0.1 mol•L-1  Na2S溶液中:2c(Na+) = c(S 2) + c(HS) + c(H2S)

  C.0.1 mol•L-1 NaHCO3溶液中:c(Na+)+c(H+)=c(HCO3)+2c(CO32)+c(OH)

  D.等体积、等物质的量浓度的乙酸溶液和氢氧化钠溶液混合后:

c(Na+) = c(CH3COO) >c(H+) = c(OH)

试题详情

22.将 4 mol A 气体和 2 mol B 气体在 2 L 的密闭容器中混合并在一定条件下发生如下反应  2A(g)+B(g) 2C(g);△H <0   4 s(秒)后反应达到平衡状态,此时测得 C 的浓度为0.6 mol·L1 ,下列说法中正确的是                    (   ) 

  A.反应过程中,当A 、B、C的物质的量浓度之比为 2:1:2时,反应即达到平衡状态

  B.4 s 内用物质B表示的反应速率为0.075 mol·L1·S1

  C.达平衡后若增大压强,A的转化率降低

  D.达平衡后若升高温度,C的浓度将减小    

试题详情

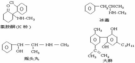
21.珍爱生命,远离毒品。以下是四种毒品的结构简式,下列有关说法正确的是(  )

A.K粉的分子式为C13H16ClNO

82615205
 
B.这四种毒品都属于芳香族烃

C.1mol大麻最多可与含4mol Br2 的浓溴水发生反应

D.摇头丸不可能发生加成反应

试题详情

20.充分利用能源、提高原子利用率、减少向环境排放废弃物等都是“绿色化学”的基本要求。

   ① 实验室短时间保存硫酸亚铁溶液时,向试剂瓶中添加铁钉和少量稀硫酸;

    ② 用稀硝酸代替浓硝酸溶解、回收做银镜实验后试管内壁的银;

    ③接触法制硫酸的设备中安装“热交换器”和锅炉,利用余热预热冷原料气和蒸气发电; ④工业合成氨中分离产物得到氢气和氮气再循环使用。

上述主要不是从“绿色化学”角度考虑的是                           (   )

  A.只有①       B.②④         C.③④        D.②③

试题详情

19.下列各组离子在指定溶液中能大量共存的是                           (   )           

  ①无色溶液中:K+、Na+、MnO4、SO42

  ②pH=11的溶液中:CO32、Na+、AlO2、NO3

  ③加入Al能放出H2的溶液中:Cl、HCO3、SO42、NH4+

  ④由水电离出的c(OH)=1012mol·L1的溶液中:Na+、Ba2+、Cl、Br

  ⑤有较多Fe3+的溶液中: Na+、NH4+、SCN、HCO3

  ⑥酸性溶液中:Fe2+、Al3+、NO3、I、Cl

  A.①②        B.③⑥        C.②④       D.③⑤

试题详情


同步练习册答案