0  260188  260196  260202  260206  260212  260214  260218  260224  260226  260232  260238  260242  260244  260248  260254  260256  260262  260266  260268  260272  260274  260278  260280  260282  260283  260284  260286  260287  260288  260290  260292  260296  260298  260302  260304  260308  260314  260316  260322  260326  260328  260332  260338  260344  260346  260352  260356  260358  260364  260368  260374  260382  447090 

3、(2009天津十二区县联考)右面框图表示的程序所输出的结果是                                       (   )

A.1320        

B.132  

C.11880       

D.121

答案  A

试题详情

2、(2009合肥市高三上学期第一次教学质量检测)如图,该程序运行后输出的结

果为                             (   )

A.14         B.16       C.18         D.64

答案  B

试题详情

1、(2009福州模拟)如果执行右面的程序框图,那么输出的          (    )

A.22       B.46       C.      D.190

答案  C

试题详情

2009年联考题

试题详情

6、(2008山东13)执行右边的程序框图6,若p=0.8,

则输出的n   .

答案  4

试题详情

4、(2007海南文、理5)如果执行下面的程序框图,那么输出的( )

A.2450   B.2500       C.2550           D.2652

 答案 C

试题详情

3、(2007宁夏文、理5)如果执行右面的程序框图,那么输出的           (   )

A.2450          B.2500       

C.2550          D.2652

答案 C

试题详情

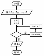
2、(2007广东文7)上面左图是某县参加2007

年高考的学生身高条形统计图,从左到右的各

条形表示的学生人数依次记为A1A2、…、A10

(如A2表示身高(单位:cm)(150,155)内

的学生人数).右图是统计左图中身高在一定范

围内学生人数的一个算法流程图.现要统计身高

在160~180cm(含160cm,不含180cm)的学生人数,

那么在流程图中的判断框内应填写的条件是(   )

A.i<6   B. i<7    C. i<8    D. i<9

答案  B

试题详情

1、(2008海南)右面的程序框图5,如果输入三个实数a、b、c,要求输出这三个数中最大的数,那么在空白的判断框中,应该填入下面四个选项中的                         (   ) 

A. c > x    B. x > c  

C. c > b       D. b > c

答案   A

试题详情


同步练习册答案