题目列表(包括答案和解析)

 0  120146  120154  120160  120164  120170  120172  120176  120182  120184  120190  120196  120200  120202  120206  120212  120214  120220  120224  120226  120230  120232  120236  120238  120240  120241  120242  120244  120245  120246  120248  120250  120254  120256  120260  120262  120266  120272  120274  120280  120284  120286  120290  120296  120302  120304  120310  120314  120316  120322  120326  120332  120340  447348 

2.7

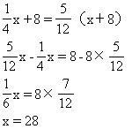
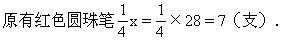
 设原来有圆珠笔x支,

   

试题详情

1.85

 

 =12.5×(1.86+2.54)+30

 =12.5×4.4+30

 =55+30

 =85

试题详情

4.能否用2个田字形和7个T字形(如图),恰好覆盖住一个6×6的正方形网格?

模拟试卷 27

试题详情

3.一容器内装有10升纯酒精,倒出1升后,用水加满,再倒出1升,再用水加满,然后再倒出1升,用水加满,这时容器内的酒精溶液浓度是多少?

试题详情

2.有8盏灯,从1到8编号,开始时3、6、7编号的灯是亮的。如果一个小朋友按从1到8,再从1到8,…的顺序拉开关,一共拉动500次,问此时哪几个编号的灯是亮的?

试题详情

1.某沿海地区甲、乙两码头,已知一艘船从甲到乙每天航行300千米,从乙到甲每天航行360千米,如果这艘船在甲、乙两码头间往返航行4次共22天,那么甲、乙两码头间的距离是多少千米?

试题详情

10.有一个长方形,长有420个小方格,宽有240个小方格.如果把每个小方格的顶点称为格点,连结这个长方形的对角线共经过______个格点(包括对角线两端).

试题详情

9.把一个大长方体木块表面涂满红色后,分割成若干个同样大小的小长方体,其中只有两个面涂上红色的小正方体恰好是16块,那么至少要把这个大长方形分割成______个小长方体.

试题详情

8.1997名同学排成一排,从排头到排尾1至4报数;再从排尾向排头1至5报数,那么两次报数都报3的共有______人.

试题详情

5.正方形的一组对边增加6厘米,另一组对边减少4厘米,结果得到的长方形与原正方形面积相等,原正方形的面积是______平方厘米.

 6如图,图中有18个小方格,要把3枚硬币放在方格里,使每行、每列只出现一枚硬币,共有______种放法.

  个数是______.

试题详情


同步练习册答案