题目列表(包括答案和解析)

 0  120216  120224  120230  120234  120240  120242  120246  120252  120254  120260  120266  120270  120272  120276  120282  120284  120290  120294  120296  120300  120302  120306  120308  120310  120311  120312  120314  120315  120316  120318  120320  120324  120326  120330  120332  120336  120342  120344  120350  120354  120356  120360  120366  120372  120374  120380  120384  120386  120392  120396  120402  120410  447348 

     2.余2

 

 连续6个1能被7整除,说明每6个1除以7是一个循环.由于

 1997÷6=332…5

 这表明1997个1除以7的余数等于5个1除以7的余数,因为5个1除以7余数是2,所以1997个1除以7余数是2.

3.523

 因为72=8×9,8与9互质,所以这个五位数既是9的倍数,又是8的倍数.

 由于这个五位数是9的倍数,所以其各个数位上的数字之和应是9的倍数,不妨设五位数的个位是x,百位是y,则

 3+7+y+5+x=15+y+x

 是9的倍数,所以x+y可能是3或12;

 若x+y=3,3=1+2,由于这个五位数又能被8整除,因此这个五位数的末三位数字组成的数能被8整除,且个位必是偶数,但152不能被8整除,所以x+y不可能是3.

 若x+y=12,12=4+8=6+6,但458,854均不能被8整除,只有656能 这个五位数除以72的商是523.

试题详情

4.甲、乙、丙三人同时从A地出发,到离A地F18千米的B地,当甲到达B地时,乙、丙两人离B地分别还有3千米和4千米,那么当乙到达B地时,丙离B地还有多少千米?

模拟试卷30

试题详情

3.有6对夫妻参加一次聚会,每个男士与每一个人握手(但不包括自己的妻子),女士之间相互不握手,那么这12个人共握手多少次?

试题详情

1.如果1个小正方体木块的表面积是24平方厘米,那么由512个这样的小正方体木块所组成的一个大正方体的体积是多少立方厘米?

 

试题详情

10.某小学组织六年级学生春游,学校买了182瓶汽水分给每个学生.如果每5个空瓶又可换得1瓶汽水,那么这些汽水瓶最多可换得______瓶汽水.

试题详情

9.恰有8个约数的两位数有______个.

试题详情

7.有两支蜡烛,第一支5小时燃尽,第二支4小时燃尽.如果同时点燃这两支蜡烛,并且蜡烛燃烧的速度不变,在点燃______小时后,第一支蜡烛的长度是第二支蜡烛的3倍.

 

试题详情

4.一列火车以每小时60千米的速度通过一座200米长的桥,用了21秒,则火车的车长是______米. 

 

 

试题详情

3.37□5□能被72整除,这个数除以72的商是______.

试题详情

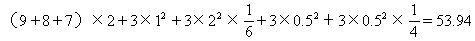
4.圆板滚过的图形面积是53.94平方厘米

 解答本题的关键在于想象出圆板滚过的图形,现将圆板滚过的图形分割成a、b、c、d、e、f、g,其中图a、b、c分别是长为9厘米、8厘米、7厘米,宽是 2厘米的长方形;图 d、 f正好拼成一个圆;图e是 0.5厘米,厘米的小正方形与一个半径为0.5圆心角是90°的扇形面积之和.所以圆板滚过的图形面积为:

  (平方厘米)

试题详情


同步练习册答案