题目列表(包括答案和解析)

 0  120210  120218  120224  120228  120234  120236  120240  120246  120248  120254  120260  120264  120266  120270  120276  120278  120284  120288  120290  120294  120296  120300  120302  120304  120305  120306  120308  120309  120310  120312  120314  120318  120320  120324  120326  120330  120336  120338  120344  120348  120350  120354  120360  120366  120368  120374  120378  120380  120386  120390  120396  120404  447348 

2.这个数是12.

 设这个数为a,则50=aq+2,aq=50-2=48,说明a|48,同理a|(65-5),a|(91-7),则a是48、60、84的公约数,因为(48,60,84)=12,因为a>7,所以这个数只能是12.

试题详情

1.甲先做了8天.

 设甲做了x天,则    x=8(天)

 所以甲先做了8天.

试题详情

10.24

 因为每场比赛不论胜、负还是平局,两人得分之和是2分,所以无论有多少名选手,选手的总分应是偶数,即只有552、554中的一个是正确的.

 设有n名选手参赛,则共比赛n(n-1)÷2场,选手总分:2×n(n-1)÷2=n(n-1)(分),即要求选手的总分能写成两个连续自然数之积.

 由于552=2×2×2×3×23=24×23,而554=2×277.所以共有24名选手参赛.

试题详情

9.28.5

 设原来的四个数是a、b、c、d,则

 

 由这四个式子可以看出22+25+34+39之和恰好是a、b、c、d四个数之和的2倍,所以

 a+b+c+d=(22+25+34+39)÷2=60

 这四个数分别是

 (22×3-60)÷2=3

 (25×3-60)÷2=7.5

 (34×3-60)÷2=21

 (39×3-60)÷2=28.5

 所以这四个数中的最大数为28.5.

试题详情

8.266

 原计划老张比小王多做30个,而小王实际比计划少做20个,这样老张实际又要比计划多做20个,实际上老张比小王要多做30+20×2个,如果设老张实际做的总数是1,则老张实际做的个数:  

 小王实际做的个数是:

 

 这批零件共168+98=266(个).

试题详情

7.249

试题详情

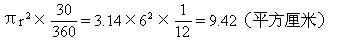
6.9.42

 阴影的面积等于半圆ACB的面积加上扇形ABB'的面积减去半圆ADB'的面积,而半圆ACB与半圆ADB'的面积相等,所以阴影部分的面积就是扇形ABB'的面积,它的面积是:

 

试题详情

5.133

 长方形ABCD与长方形EFGH各有长方形均为:

 (1+2+3+4)×(1+2+3)=60(个)

 其中中间含有数字1或2的3个长方形被重复计算了,应从中去掉.

 再计算特殊情况的,数字3或4所在长方形共3个,它们又与长方形EFGH共同组成了3个长方形,因此含有数字3或4的长方形个数是6个;同理含有数字5或6的长方形个数也是6个;类似得到含有7或8的长方形个数共有2×2=4个.所以图形中共有长方形的个数是:

 (1+2+3+4)×(1+2+3)×2-3+6×2+2×2=133(个)

试题详情

4.1

 一个自然数除以9的余数等于这个自然数的各个数位上的数字之和除以9的余数.将0至1999这2000个数分成如下1000组:

 (0,1999),(1,1998),(2,1997),…,(998,1001),(999,1000)以上每组两数之和都是1999,且两数相加没有进位,这样1至1999这1999个

 自然数的所有数字之和是:(1+9+9+9)×1000=28000

 而1997、1998、1999这3个自然数所有数字之和是:

 1×3+9×6+7+8+9=81

 所以1至1996这1996个自然数所有数字之和为:

 28000-81=27919

 (2+7+9+1+9)÷9=3…1

 故多位数1234567891011…1996除以9的余数是1

试题详情

3.516

 设这五个数为a、b、c、d、e,每两个数相加,得到10个和,这10个和相加为:

 (a+b)+(a+c)+(a+d)+(a+e)+(b+c)+(b+d)+(b+e)+(c+d)+(c+e)+(d+e)=4(a+b+c+d+e)=2064

 所以a+b+c+d+e=516.

试题详情


同步练习册答案