题目列表(包括答案和解析)

 0  100768  100776  100782  100786  100792  100794  100798  100804  100806  100812  100818  100822  100824  100828  100834  100836  100842  100846  100848  100852  100854  100858  100860  100862  100863  100864  100866  100867  100868  100870  100872  100876  100878  100882  100884  100888  100894  100896  100902  100906  100908  100912  100918  100924  100926  100932  100936  100938  100944  100948  100954  100962  447348 

5、已知样本容量为30,在样本频率分布直方图中(如图),各小长方形的高的比从左到右依次,则第2组的频率和频数分别是(   )

        

试题详情

4、由1,2,3,4可以组成的没有重复数字的三位偶数有  (  )

  A.6种   B.8种   C.10种   D.12种   

试题详情

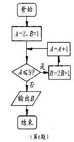
3、名工人某天生产同一零件,生产的件数是

设其平均数为,中位数为,众数为,则有(    )

A.      B.  

 C.      D.

试题详情

2、(1)某小区有800个家庭,其中高收入家庭200户,中等收入家庭480户,低收入家庭120户.为了了解有关家用轿车购买力的某项指标,要从中抽取一个容量为100户的样本;(2)从10名同学中抽取3个参加座谈会。抽取方法有:①简单随机抽样,②系统抽样,③分层抽样。问题和方法配对正确的是(   )  

  A.(1) ③;(2) ①   B.(1) ①;(2) ② C..(1) ②;(2) ③   D.(1) ③;(2) ②

试题详情

1、从一副标准的52张扑克牌中任意抽一张,抽到黑色K的概率为(   )

A.           B.        C.         D.  

试题详情

21.解:(1)

  (2)设点P的坐标为(a,b),则有b=a+,a>0        

由点到直线的距离公式可知:

  (3)设M(t,t)可知N(0,b)又PM垂直直线y=x ,所以, 即解得          

   所以,

   仅当a=1时取等.  此时四边形面积最小值为.

试题详情

20.解:略

试题详情

19. 解:设一年的运费和库存费共元,

  由题意知,=10

  即当=500时,故每次进货500件,一年的运费和库存费最省

试题详情

18.解:不等式即 (x-a)(x-)>0

 (1)当a ≥即-1≤a <0或a ≥1时,不等式的解集是{x|x>a,或a<}

 (2)当a<即a<-1或0<a<1时,不等式的解集是{x|x<或x>a}

试题详情

17.解:(1){x|x<-}

  (2)不等式的解集不是空集只需|2a-1|大于或等于f(x)的最小值.

   即可,由绝对值的几何意义知,f(x)的最小值是5,

      所以有 |2a-1|≥5,解得a≥3,或a≤-2.        

试题详情


同步练习册答案