题目列表(包括答案和解析)

 0  170016  170024  170030  170034  170040  170042  170046  170052  170054  170060  170066  170070  170072  170076  170082  170084  170090  170094  170096  170100  170102  170106  170108  170110  170111  170112  170114  170115  170116  170118  170120  170124  170126  170130  170132  170136  170142  170144  170150  170154  170156  170160  170166  170172  170174  170180  170184  170186  170192  170196  170202  170210  447348 

11. (2.5s;  太小;)(慢)   

试题详情

10. C

解析:设地面上的人测得两烙印的长度为l=1m,S′系中的观察者测得l′,则根据尺缩效应知,故

试题详情

9.AC  

解析:将不同类型的两架钟调整到相同速度,并将它们密封在一个盒子中,再让该盒子做匀速运动。如果运动对一架钟的影响比另一架大,则坐在盒子里的人就能看到两架钟的差别,因而可以知道盒子是在运动。显然这违反了相对论的基本原理:一个密闭的盒子中的人是无法辨认自己是处于静止还是处于匀速直线运动状态的。所以一架钟变慢时,所有钟必须都变慢,且变慢的程度一定严格相同。

试题详情

8.B  

解析:在相对论中,普遍存在一种误解,即认为运动物体的质量总是随速度增加而增大;当速度接近光速时,质量要趋于无穷大。正确的理解是:物体质量增大只是发生在给它不断输入能量的时候,而不一定是增加速度的时候。对有轨电车,能量通过导线,从发电厂源源不断输入;而摩托车的能量却是它自己带来的。能量不断从外界输入有轨电车,但没有能量从外界输给摩托车。能量与质量相对应,所以有轨电车的质量将随速度增加而增大,而摩托车的质量不会随速度的增加而增大。

试题详情

1.C  2.BD  3.CD  4.D  5.ABCD  6.D  7.AD

试题详情

18.设想地球上有一观察者测得一宇宙飞船以0.60c的速率向东飞行,5.0s后该飞船将与一个以0.80c的速率向西飞行的彗星相碰撞。试问:

(1)飞船中的人测得彗星将以多大的速率向它运动?

(2)从飞船中的时钟来看,还有多少时间允许它离开航线,以避免与彗星碰撞?

相对论单元测试

试题详情

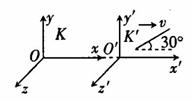
17.如图,设惯性系K′相对于惯性系K以匀速v=c/3沿x轴方向运动。在K′系的x′y′平面内静置一长为5 m,与x′轴成300角的杆。试问:在K系中观察到此杆的长度和杆与x轴的夹角为多大?

试题详情

16. 证明:本题中两飞船的运动方向相反

试题详情

15. 两艘宇宙飞船相对某遥远的恒星以0.8c的速率向相反方向移开,试用速度变换法则证明,两飞船的相对速度是

试题详情

14. 假设宇宙飞船从地球射出,沿直线到达月球,距离是3.84×l08 m。它的速度在地球上被测得为0.30c,根据地球上的时钟,这次旅行要用多长时间?根据宇宙飞船所做的测量。地球和月球的距离是多少?怎样根据这个算得的距离,求出宇宙飞船上时钟所读出的旅行时间?

试题详情


同步练习册答案