题目列表(包括答案和解析)

 0  77409  77417  77423  77427  77433  77435  77439  77445  77447  77453  77459  77463  77465  77469  77475  77477  77483  77487  77489  77493  77495  77499  77501  77503  77504  77505  77507  77508  77509  77511  77513  77517  77519  77523  77525  77529  77535  77537  77543  77547  77549  77553  77559  77565  77567  77573  77577  77579  77585  77589  77595  77603  447348 

5.求证:对任意自然数n,n(n-1)(2n-1)能被6整除.

试题详情

4.设p是大于3的质数,求证:24|(p2-1).

试题详情

3.已知整数x,y,使得7|(13x+8y),求证:

 7|(9x+5y).

试题详情

2.证明:当a是奇数时,a(a2-1)能被24整除.

试题详情

1.求证:对任意自然数n,2×7n+1能被3整除.

试题详情

2.证明整除的基本方法

 证明整除常用下列几种方法:(1)利用基本性质法;(2)分解因式法;(3)按模分类法;(4)反证法.下面举例说明.

 例1 证明:三个连续奇数的平方和加1,能被12整除,但不能被24整除.

 分析 要证明一个数能被12整除但不能被24整除,只需证明此数等于12乘上一个奇数即可.

 证 设三个连续的奇数分别为2n-1,2n+1,2n+3(其中n是整数),于是

 (2n-1)2+(2n+1)2+(2n+3)2+1

=12(n2+n+1).

 所以

 12|[(2n-1)2+(2n+1)2+(2n+3)2].

 又n2+n+1=n(n+1)+1,而n,n+1是相邻的两个整数,必定一奇一偶,所以n(n+1)是偶数,从而n2+n+1是奇数,故

24 [(2n-1)2+(2n+1)2+(2n+3)2].

 例2 若x,y为整数,且2x+3y,9x+5y之一能被17整除,那么另一个也能被17整除.

 证 设u=2x+3y,v=9x+5y.若17|u,从上面两式中消去y,得

3v-5u=17x.①

 所以 17|3v.

 因为(17,3)=1,所以17|v,即17|9x+5y.

 若17|v,同样从①式可知17|5u.因为(17,5)=1,所以17|u,即17|2x+3y.

 q>1.求pq的值.

 解 若p=q,则

 不是整数,所以p≠q.不妨设p<q,于是

 

 

 

 是整数,所以p只能为3,从而q=5.所以

pq=3×5=15.

 例4 试求出两两互质的不同的三个自然数x,y,z,使得其中任意两个的和能被第三个数整除.

 分析 题中有三个未知数,我们设法得到一些方程,然后从中解出这些未知数.

 最小的一个:

 

 y|(y+2x),所以y|2x,于是

 数两两互质,所以x=1.

 所求的三个数为1,2,3.

 例5 设n是奇数,求证:

60|6n-3n-2n-1.

 分析 因为60=22×3×5,22,3,5是两两互质的,所以由性质6,只需证明22,3,5能被6n-3n-2n-1整除即可.对于幂的形式,我们常常利用性质8-性质10,其本质是因式分解.

 证 60=22×3×5.由于n是奇数,利用性质8和性质10,有

22|6n-2n,22|3n+1,

 所以

22|6n-2n-3n-1, 3|6n-3n, 3|2n+1,

 所以

3|6n-3n-2n-1,5|6n-1,5|3n+2n

 所以

5|6n-1-3n-2n

 由于22,3,5两两互质,所以

60|6n-3n-2n-1.

 我们通常把整数分成奇数和偶数两类,即被2除余数为0的是偶数,余数为1的是奇数.偶数常用2k表示,奇数常用2k+1表示,其实这就是按模2分类.又如,一个整数a被3除时,余数只能是0,1,2这三种可能,因此,全体整数可以分为3k,3k+1,3k+2这三类形式,这是按模3分类.有时为了解题方便,还常把整数按模4、模5、模6、模8等分类,但这要具体问题具体处理.

 例6 若整数a不被2和3整除,求证:24|(a2-1).

 分析 因为a既不能被2整除,也不能被3整除,所以,按模2分类与按模3分类都是不合适的.较好的想法是按模6分类,把整数分成6k,6k+1,6k+2,6k+3,6k+4,6k+5这六类.由于6k,6k+2,6k+4是2的倍数,6k+3是3的倍数,所以a只能具有6k+1或6k+5的形式,有时候为了方便起见,也常把6k+5写成6k-1(它们除以6余数均为5).

 证 因为a不被2和3整除,故a具有6k±1的形式,其中k是自然数,所以a2-1=(6k±1)2-1=36k2±12k=12k(3k±1).由于k与3k±1为一奇一偶(若k为奇数,则3k±1为偶数,若k为偶数,则3k±1为奇数),所以2|k(3k±1),于是便有24|(a2-1).

 例7 求证:3n+1(n为正整数)能被2或22整除,但不能被2的更高次幂整除.

 证 按模2分类.若n=2k为偶数,k为正整数,则

3n+1=32k+1=(3k)2+1.

 由3k是奇数,(3k)2是奇数的平方,奇数的平方除以8余1,故可设(3k)2=8l+1,于是

3n+1=8l+2=2(4l+1).

 4l+1是奇数,不含有2的因数,所以3n+1能被2整除,但不能被2的更高次幂整除.

 若n=2k+1为奇数,k为非负整数,则

3n+1=32k+1+1=3·(3k)2+1

   =3(8l+1)+1=4(6l+1).

 由于6l+1是奇数,所以此时3n+1能被22整除,但不能被2的更高次幂整除.

 在解决有些整除性问题时,直接证明较为困难,可以用反证法来证.

 例8 已知a,b是整数,a2+b2能被3整除,求证:a和b都能被3整除.

 证 用反证法.如果a,b不都能被3整除,那么有如下两种情况:

 (1)a,b两数中恰有一个能被3整除,不妨设3|a,3b.令a=3m,b=3n±1(m,n都是整数),于是

a2+b2=9m2+9n2±6n+1

   =3(3m2+3n2±2n)+1,

 不是3的倍数,矛盾.

 (2)a,b两数都不能被3整除.令a=3m±1,b=3n±1,则

 a2+b2=(3m±1)2+(3n±1)2

   =9m2±6m+1+9n2±6n+1

   =3(3m2+3n2±2m±2n)+2,

 不能被3整除,矛盾.

 由此可知,a,b都是3的倍数.

 例9 设p是质数,证明:满足a2=pb2的正整数a,b不存在.

 证 用反证法.假定存在正整数a,b,使得

a2=pb2

 令(a,b)=d,a=a1d,b=b1d,则(a1,b1)=1.所以

 

 

 与(a1,b1)=1矛盾.

 例10 设p,q均为自然数,且

 求证:29|p.

 证 注意到29是质数.令a=10×11×…×19.

 

   

 所以 ap=29q·b,

 

 29|a·p,29是质数,且29a,所以29|p.

练习二十四

试题详情

1.整除的基本概念与性质

 所谓整除,就是一个整数被另一个整数除尽,其数学定义如下.

 定义 设a,b是整数,b≠0.如果有一个整数q,使得a=bq,那么称a能被b整除,或称b整除a,并记作b|a.如果不存在这样的整数q,使得a=bq,则称a不能被b整除,或称b不整除a,记作ba.

 关于整数的整除,有如下一些基本性质:

 性质1 若b|a,c|b,则c|a.

 性质2 若c|a,c|b,则c|(a±b).

 性质3 若c|a,cb,则c(a±b).

 性质4 若b|a,d|c,则bd|ac.

 性质5 若a=b+c,且m|a,m|b,则m|c.

 性质6 若b|a,c|a,则[b,c]|a(此处[b,c]为b,c的最小公倍数).特别地,当(b,c)=1时,bc|a(此处(b,c)为b,c的最大公约数).

 性质7 若c|ab,且(c,a)=1,则c|b.特别地,若p是质数,且p|ab,则p|a或p|b.

 性质8 若a≠b,n是自然数,则(a-b)|(an-bn).

 性质9 若a≠-b,n是正偶数,则(a+b)|(an-bn).

 性质10 若a≠-b,n是正奇数,则(a+b)|(an+bn).

试题详情

3.计算:

 

  

  

  

本资料由《七彩教育网》 提供!

试题详情

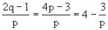
2.计算:

 

  

试题详情

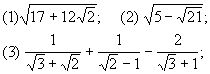
1.化简:

  

  

试题详情


同步练习册答案