题目列表(包括答案和解析)
2、一元二次方程与二次函数的关系。
1、二次函数的三种表示方法:(1)一般式
(2)顶点式![]()
(3)两点式![]()
(三)、同步练习:
1、下列各函数解析式中,满足
的是 ( )
(A)
(B)
(C)
(D)![]()
答案:C
2、已知
,且
,则
等于
( )
(A)
(B)
(C)
(D)![]()
答案:A
3、已知
,则函数
的解析式为
( )
(A)
(B)![]()
(C)
(D)![]()
答案:C
4、已知
,则
的解析式可取为
等于( )
A.
B.
C.
D.![]()
答案:C
5.设函数
若
则关于x的方程
的解的个数为( )
(A)1 (B)2 (C)3 (D)4
答案:C
6、若函数
满足关系式
,则
的表达式为__________
答案:
7、设函数
的图象为
,若函数
的图象
与
关于
轴对称,则
的解析式为________________.
答案:
、
8、若一次函数y=f (x)在区间
上的最大值为3,最小值为1,则y=f (x)的解析式为_____________.
答案:
或
9、已知
是奇函数,
是偶函数,且
,则
= ___
答案: ![]()
10、二次函数
满足
,且
。⑴ 求
的解析式;
⑵ 在区间
上,
的图象恒在
的上方,试确定
的范围。
答案(1)
(2)![]()
11、已知
,当点
在函数
的图象上运动时,点
在 函数
的图象上运动
(1)
写出
的解析式;
(2)
求出使
的x 的取值范围;
(3)
在(2)的范围内,求
的最大值。
答案:(1)
(2)
(3)![]()
第四篇 二次函数问题
(二)、例题演练:
例1、求下列函数的解析式:
(1)已知
,求
;
(2)已知
,求
;
(3)已知
,求![]()
[解析](1)![]()
(2)解法一(拼凑法):
,而
故所求的函数![]()
解法二(换元法):令
,则
,
∴![]()
故所求的函数为![]()
(3)令
,则
,∴
,
即
.与原式联立,得
解得![]()
∴所求的函数为![]()
[点评]由
的解析式,求出函数
后,应注意函数的定义域。此时
的取值不仅要使
有意义,同时还要使
也有意义,也就是
的定义域包含于
的值域之中。
例2、设二次函数
满足
,且图象在
轴上的截距为1,被
截得的线段长为
,求
的解析式。
[解析]解法一:设
.由
得
①;
又
,∴
②;
又由已知得
③;
由①②③得![]()
,∴![]()
解法二:
,故
的图象有对称轴
,可设依题意可设设
,有![]()
![]()
解法三:∵
的图象有对称轴
,又
,
∴
与
轴的交点为![]()
故可设![]()
∵
,∴
(其余略)。
[点评]三种方法均是待定系数法求二次函数的解析式,可以得到充分挖掘题目的隐含条件及充分利用图形的直观性,是简化运算的有效手段。
[例3]设
是R上的函数,且满足
,并且对任意实数
、
有
,求
的表达式。
[解]解法一:由
,
设
,得![]()
∵
,∴
,
即
。
又令
,代入上式得
,
∴![]()
[点 评]:赋值法(亦称特殊值法),可以取特殊值,亦可以是变量换变量,然后通过解方程组求出参数。
例4、(1)已知
,且
,求![]()
(2)已知
,若
,且
,试求
的表达式。
[解析](1)∵
,
∴![]()
∴
或![]()
(2)∵
,∴
,
,
∴
∴![]()
[点评]此题通过待定系数法来求函数的解析式。这是已知函数类型求其解析式的常用方法。
例5、已知函数
与
的图象关于点(--2,3)对称,求
的解析式。
解:设
上任意一点为
,则
在
上,代入整理得
![]()
(一)、知识回顾:
1、求函数解析式的常用方法:
ⅰ、换元法( 注意新元的取值范围)
ⅱ、待定系数法(已知函数类型如:一次、二次函数、反比例函数等)
ⅲ、整体代换(配凑法)
ⅳ、构造方程组(如自变量互为倒数、已知f(x)为奇函数且g(x)为偶函数等)
2、求函数的解析式应指明函数的定义域,函数的定义域是使式子有意义的的取值范围,同时也要注意变量的实际意义。
3、理解轨迹思想在求对称曲线中的应用。
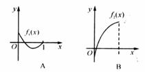
1:如图所示,单位圆中弧AB的长为
表示弧AB与弦AB
所围成的弓形面积的2倍,则函数
的图象是
![]()
答案:( D )
设计意图:考察图象与式子运算的能力
2、为了稳定市场,确保农民增收,某农产品的市场收购价格
与其前三个月的市场收购价格有关,且使
与其前三个月的市场收购价格之差的平方和最小.若下表列出的是该产品前6个月的市场收购价格:
|
月份 |
1 |
2 |
3 |
4 |
5 |
6 |
7 |
|
价格(元/担) |
68 |
78 |
67 |
71 |
72 |
70 |
|
则7月份该产品的市场收购价格应为 ( )
A.69元 B.70元 C.71元 D.72元
答案:C
3、已知函数
是
上的增函数,
是其函数图象上的两点,那么
的解集的补集是:( )
![]()
答案:D
4、方程
的实根的个数为( )A:0
B:1 C:2 D:3
答案D
5.为了得到函数
的图象,可以把函数
的图象( )
A.向左平移3个单位长度 B.向右平移3个单位长度
C.向左平移1个单位长度 D.向右平移1个单位长度
[解析]∵
,∴由
的图象向右平移1个单位长度。
6.已知函数
,则
的图象为图中的( )
![]()
[解析]
,这是把函数
的图象向右平移1个单位而得。
故选C。
7。要得到
的图像,只需作
关于_____轴对称的图像,再向____平移3个单位而得到。
答案:
轴,右
8。已知
是偶函数,则
的图像关于__________对称;已知
是偶函数,则函数
的图像关于____________对称.
答案:直线
;直线
9、写出函数
的图像经过怎样的变换可得到函数
的图像。
答案、左移1个单位
10、 若
,则方程
有几个实根
答案:(1) 2个
11、设曲线C的方程是
,将C沿x轴,y轴正方向分别平行移动t,s单位长度后得曲线
。 (1)写出曲线
的方程;(2)证明曲线C与
关于点
对称
答案:(1)
(2)略
12、将函数
的图像沿x轴向右平移1个单位,得到图像C,图像C1与C关于原点对称,图像C2与C1关于直线y=x对称,求C2对应的函数。
答案、![]()
13、试讨论方程
的实数根的个数。
答案、
时有一解;当
时有二解;当
无解
14、设a是常数,函数f(x)对一切实数x都满足
,求证函数f(x)的图像关于点(a,0)成中心对称图形。
答案:略
第三篇 函数的解析式问题
(二)例题演练:
例1.函数
的图象是( )
![]()
[解析]该题考查对
图象以及坐标平移公式的理解,将函数
的图象变形到
,即向右平移一个单位,再变形到
,即将前面图象沿
轴翻转,再变形到
,即将前面图象再向上平移一个单位,从而得到答案B。
例2.如图所示,
是定义在
上的四个函数,其中满足性质:“对
中任意的
和
,
恒成立”的只有( )
![]()
![]()
[解析]
为自变量
的中点,
对应的函数值即“中点的纵坐标”,
为自变量
对应的函数值所对应的点的中点,即“纵坐标的中点”。再结合
函数图象的凹凸性,可得到答案A,这是函数凹凸性的基本应用。故选A。
例3、利用函数
的图象,作出下列各函数的图象:
(1)
;(2)
;(3)
;(4)
;(5)![]()
[解析]利用指数函数
的图象及变换作图法可作要作的函数图象,其图象如图(1)-(5)中的实线部分。
![]()
[例4]已知
,且
1,函数
与
的图象只能是图中的( )
![]()
[分析]可以从图象所在的位置及单调性来判别,也可利用函数的性质识别图象,特别注意底数
对图象的影响。
解法一:首先,曲线
只可能在上半平面,
只可能在左半平面上,从而排除A、C。
其次,从单调性着眼,
与
的增减性正好相反,又可排除D。
解法二:若
,则曲线
下降且过点(0,1),而曲线
上升且过
,以上图象均不符合这些条件. 若
时,则曲线
上升且过(0,1),而曲线
下降且过
,只有B满足条件。
解法三:如果注意到
的图象关于
轴的对称图象为
,又
与
互为反函数(图象关于直线
对称),则可直接选定B。
[答案]B
[例5]作出
的图象.
[分析]利用图象变换作图(如图)
[解析]第一步:作出
的图象(图①).
第二步:将
的图象沿
轴向左平移1个单位得
的图象(图②).
第三步:将
的图象在
轴下方的图象,以
轴为对称轴对称到
轴的上方得
的图象)(图③).
第四步:将
的图象沿
轴方向向上平移2个单位,得到
的图象(图④).
![]()
[点评](1)一般地,函数
的图象可由函数
的图象变换得到。
将
的图象向左或向右平移
个单位可得到函数
的图象,向下或向上平移
个单位可得到函数
的图象(记忆口诀:上加下减)。
(2)含有绝对值的函数的图象变换是一种对称变换,一般地,
的图象是关于
对称的轴对称图形;函数
的图象与
的图象在
轴上方相同,在
轴下方关于
轴对称。
(3)
的图象
的图象关于
轴对称,
的图象与
的图象关于
轴对称。
[例6]函数
与函数
的图象如右,则函数
·
的图象是( )
![]()
[解析]由图象可知,
是偶函数,
是奇函数,且
与
的公共定义域为
,排除C、D。令
·
,则
·
,所以
为奇函数,其图象关于原点对称,排除B。故选A。
(一)知识方法
1.用描点法作函数的图象.
2.正比例函数、反比例函数、二次函数的图象及几种基本初等函数的图象.
3.图象变换与变量替换的关系
(1)平移变换((2)变换作图法:
①平移:![]()
;
![]()
![]()
![]()
②对称:![]()
![]()
;
![]()
![]()
;
![]()
![]()
.
③其他:![]()
![]()
;
![]()
![]()
![]()
![]()
[例]作函数
的图象时,先用虚线作
的图象,再保留
轴右边图象,并把它对称翻到
轴左边,即得到
的图象,如图所示。
4.作函数图像的一般步骤是:
(1)求出函数的定义域;(2)化简函数式;(3)讨论函数的性质(如奇偶性、周期性、单调性)以及图像上的特殊点、线(如极值点、渐近线、对称轴等);(4)利用基本函数的图像画出所给函数的图像。
(1)引理证明
已知函数
.若
在区间
)上是减函数,其值域为(c,d),又函数
在区间(c,d)上是减函数,那么,原复合函数
在区间
)上是增函数.
证明:在区间
)内任取两个数
,使![]()
因为
在区间
)上是减函数,所以
,记
,
即![]()
因为函数
在区间(c,d)上是减函数,所以
,即
,
故函数
在区间
)上是增函数.
(2).复合函数单调性的判断
复合函数的单调性是由两个函数共同决定。为了记忆方便,我们把它们总结成一个图表:
|
|
增 ↗ |
减 ↘ |
||
|
|
增 ↗ |
减 ↘ |
增 ↗ |
减 ↘ |
|
|
增 ↗ |
减 ↘ |
减 ↘ |
增 ↗ |
以上规律还可总结为:“同向得增,异向得减”或“同增异减”.
(3)、复合函数
的单调性判断步骤:
ⅰ 确定函数的定义域;
ⅱ 将复合函数分解成两个简单函数:
与
。
ⅲ 分别确定分解成的两个函数的单调性;
ⅳ 若两个函数在对应的区间上的单调性相同(即都是增函数,或都是减函数),则复合后的函数
为增函数; 若两个函数在对应的区间上的单调性相异(即一个是增函数,而另一个是减函数),则复合后的函数
为减函数。
(4)例题演练
例1、 求函数
的单调区间,并用单调定义给予证明![]()
解:定义域 ![]()
单调减区间是
设
则
![]()
![]()
=![]()
∵
∴
![]()
∴
>
又底数
∴
即 ![]()
∴
在
上是减函数![]()
同理可证:
在
上是增函数![]()
[例]2、讨论函数
的单调性.
[解]由
得函数的定义域为
![]()
则当
时,若
,∵
为增函数,∴
为增函数.
若
,∵
为减函数.
∴
为减函数。
当
时,若
,则
为减函数,若
,则
为增函数.
例3、.已知y=
(2-
)在[0,1]上是x的减函数,求a的取值范围.
解:∵a>0且a≠1
当a>1时,函数t=2-
>0是减函数
由y=
(2-
)在[0,1]上x的减函数,知y=
t是增函数,
∴a>1
由x
[0,1]时,2-![]()
2-a>0,得a<2,
∴1<a<2
当0<a<1时,函数t=2-
>0是增函数![]()
由y=
(2-
)在[0,1]上x的减函数,知y=
t是减函数,
∴0<a<1![]()
由x
[0,1]时,2-![]()
2-1>0, ∴0<a<1
综上述,0<a<1或1<a<2![]()
例4、已知函数
(
为负整数)的图象经过点
,设
.问是否存在实数
使得
在区间
上是减函数,且在区间
上是减函数?并证明你的结论。
[解析]由已知
,得
,
其中
∴
即
,
解得![]()
∵
为负整数,∴![]()
∴
,
即
,
∴![]()
假设存在实数
,使得
满足条件,设
,
∴![]()
∵
,当
时,
为减函数,
∴
,∴![]()
∵
,∴
,
∴
,
∴
①
当
时,
增函数,∴![]()
∵
,∴
,
∴
. ②
由①、②可知
,故存在![]()
(5)同步练习:
1.函数y=
(x2-3x+2)的单调递减区间是( )
A.(-∞,1) B.(2,+∞)
C.(-∞,
) D.(
,+∞)
解析:先求函数定义域为(-o,1)∪(2,+∞),令t(x)=x2+3x+2,函数t(x)在(-∞,1)上单调递减,在(2,+∞)上单调递增,根据复合函数同增异减的原则,函数y=
(x2-3x+2)在(2,+∞)上单调递减.
答案:B
2找出下列函数的单调区间.
(1)
;
(2)![]()
答案:(1)在
上是增函数,在
上是减函数。
(2)单调增区间是
,减区间是
。
3、讨论
的单调性。
答案:
时
为增函数,
时,
为增函数。
4.求函数y=
(x2-5x+4)的定义域、值域和单调区间.
解:由
(x)=x2-5x+4>0,解得x>4或x<1,所以x∈(-∞,1)∪(4,+∞),当x∈(-∞,1)∪(4,+∞),{
|
=x2-5x+4}=R+,所以函数的值域是R+.因为函数y=
(x2-5x+4)是由y=![]()
(x)与
(x)=x2-5x+4复合而成,函数y=![]()
(x)在其定义域上是单调递减的,函数
(x)=x2-5x+4在(-∞,
)上为减函数,在[
,+∞]上为增函数.考虑到函数的定义域及复合函数单调性,y=
(x2-5x+4)的增区间是定义域内使y=![]()
(x)为减函数、
(x)=x2-5x+4也为减函数的区间,即(-∞,1);y=
(x2-5x+4)的减区间是定义域内使y=![]()
(x)为减函数、
(x)=x2-5x+4为增函数的区间,即(4,+∞).
第二篇 函数图象问题
数形结合是中学数学的重要的数学思想方法,尤其是函数的图象更是历年高考的热点.函数图象是函数的一种表达形式,形象的显示了函数的性质,为研究数量关系提供了“形”的直观性,它是探求解题途径,获得问题的结果的重要工具.
(二)同步练习:
1、 已知函数
的定义域为
,求函数
的定义域。
答案:![]()
2、 已知函数
的定义域为
,求
的定义域。
答案:![]()
3、 已知函数
的定义域为
,求
的定义域。
答案:![]()
4、设
,则
的定义域为( )
A.
B.
C.
D. ![]()
解:选C.由
得,
的定义域为
。故
,解得
。故
的定义域为![]()
5、已知函数
的定义域为
,求
的定义域。
[解析]由已知,有![]()
(1)当
时,定义域为
;
(2)当
,即
时,有
,
定义域为
;
(3)当
,即
时,有
,
定义域为
.
故当
时,定义域为
;
当
时,定义域为![]()
[点评]对于含有参数的函数,求其定义域,必须对字母进行讨论,要注意思考讨论字母的方法。
湖北省互联网违法和不良信息举报平台 | 网上有害信息举报专区 | 电信诈骗举报专区 | 涉历史虚无主义有害信息举报专区 | 涉企侵权举报专区
违法和不良信息举报电话:027-86699610 举报邮箱:58377363@163.com