题目列表(包括答案和解析)

 0  93929  93937  93943  93947  93953  93955  93959  93965  93967  93973  93979  93983  93985  93989  93995  93997  94003  94007  94009  94013  94015  94019  94021  94023  94024  94025  94027  94028  94029  94031  94033  94037  94039  94043  94045  94049  94055  94057  94063  94067  94069  94073  94079  94085  94087  94093  94097  94099  94105  94109  94115  94123  447348 

1.在数列中,=1,,则的值为        (   )

A.99     B.49     C.101     D. 102

试题详情

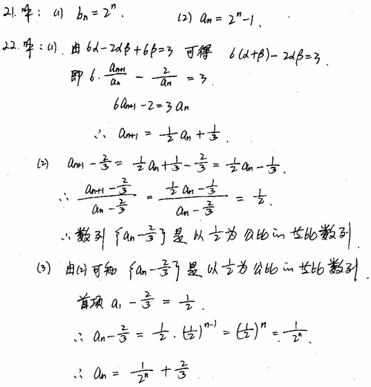
22.(12分) 设关于x的一元二次方程()有两根,且满足      

(1)试用表示

(2)求证:数列{}是等比数列;

(3)当时,求数列{}的通项公式.

试题详情

21.(12分) 已知数列满足

(1)求数列的通项公式;   (2)求数列的通项公式

试题详情

20.(12分)已知 ,求  的最小值

试题详情

19.(12分) 在数列中, ,n.

 ① 求数列的通项公式;

 ② 设

试题详情

18.(12分)解关于x的不等式

试题详情

17.(10分)关于的不等式的解集是,求实数的取值范围.

试题详情

16.数列的前n项和是    

试题详情

15.对于一切正实数不等式>恒成立,则实数的取值范围是     

试题详情

14.数列的前n项的和,则此数列的通项公式  =     

试题详情


同步练习册答案