题目列表(包括答案和解析)

 0  95665  95673  95679  95683  95689  95691  95695  95701  95703  95709  95715  95719  95721  95725  95731  95733  95739  95743  95745  95749  95751  95755  95757  95759  95760  95761  95763  95764  95765  95767  95769  95773  95775  95779  95781  95785  95791  95793  95799  95803  95805  95809  95815  95821  95823  95829  95833  95835  95841  95845  95851  95859  447348 

2.从一批产品中取出四件,设A=“四件产品全不是次品”,B=“四件产品全是次品”,C=“四件产品不全是次品”,则下列结论正确的是                             (   )

     A.A与C互斥       B.B与C互斥       C.任两个均互斥    D.任两个均不互斥

试题详情

1.简单随机抽样、系统抽样、分层抽样之间的共同点是                            (   )

     A.都是从总体中逐个抽取

     B.将总体分成几个部分,按事先确定的规则在各部分抽取

     C.抽样过程中每个个体被抽到的概率是相等的

     D.将总体分成几层,然后分层按照比例抽取

试题详情

16.如图,对于函数的图象上不同两点,直线段必在弧线段的上方,设点的比为,则

由图象中点在点上方可得不等式

请分析函数的图象,类比上述不等式, 可

以得到的不等式是               .w_w*w.k_s*5_

试题详情

15.在,当∠B=   时,BC的长取得最大值。

试题详情

14.已知____________.w_w w. k#s5_

试题详情

13.已知点,则的夹角大小为     .

试题详情

12.已知函数

上有解,则a的取值范围是(   )w_w w. k#s5_

     A.[-8,0]          B.[-4,5]          C.[-3,5]          D.[]w_w*w.k_s*5_

第II卷 (非选择题,共90分)

20080804
 
二、填空题:(每小题4分,共16分,把正确答案填写在答题卷中的横线上,或按题目要求作答)。

试题详情

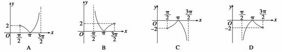
11.函数y=tanx+sinx-|tanxsinx|在区间()内的图象大致是(   ) w_w w. k#s5_

 

试题详情

10.在△ABC中,角ABC所对的边长分别为a,b,c,若∠C=120°,,则 (  )

A.a>b    B.a<b    C.a=b    D.ab的大小关系不能确定w_w*w.k_s*5_

试题详情

9.函数

的部分图象如图所示,则函数表达式为(  )

A.  B.

C.  D.

试题详情


同步练习册答案