题目列表(包括答案和解析)

 0  95663  95671  95677  95681  95687  95689  95693  95699  95701  95707  95713  95717  95719  95723  95729  95731  95737  95741  95743  95747  95749  95753  95755  95757  95758  95759  95761  95762  95763  95765  95767  95771  95773  95777  95779  95783  95789  95791  95797  95801  95803  95807  95813  95819  95821  95827  95831  95833  95839  95843  95849  95857  447348 

14.已知____________.

试题详情

13.已知点,则的夹角大小为     w_w w. k#s5_

试题详情

12.已知函数上有解,则a的取值范围是(  )w_w w. k#s5_

     A.[-8,0]          B.[-4,5]          C.[-3,5]          D.[]

第II卷 (非选择题,共90分)

20080804
 
二、填空题:(每小题4分,共16分,把正确答案填写在答题卷中的横线上,或按题目要求作答)。

试题详情

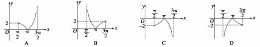
11.函数y=tanx+sinx-|tanx-sinx|在区间()内的图象大致是(   ) w_w w. k#s5_

 

试题详情

10.在△ABC中,角ABC所对的边长分别为a,b,c,若∠C=120°,,则 (  )

A.a>b    B.a<b    C.a=b    D.ab的大小关系不能确定

试题详情

9.函数

的部分图象如图所示,则函数表达式为(  )

A.  B.

C.  D.

试题详情

8.已知向量的最大值,最小值分别是(  )

    A.            B.            C.16,0             D.4,0

试题详情

7.ABC中,∠A,∠B的对边分别为ab,且,那么满足条件的ABC(  )

    A.有一个解          B.有两个解          C.不能确定          D.无解

试题详情

6.将函数的图像上所有的点向右平行移动个单位长度,再把所得各点的横坐标伸长到原来的2倍(纵坐标不变),所得图像的函数解析式是 (   ) w_w w. k#s5_

A.            B.

C.            D.

试题详情

5.已知垂直,则实数的值为(   )

A.           B.            C.           D.1

试题详情


同步练习册答案