0  158603  158611  158617  158621  158627  158629  158633  158639  158641  158647  158653  158657  158659  158663  158669  158671  158677  158681  158683  158687  158689  158693  158695  158697  158698  158699  158701  158702  158703  158705  158707  158711  158713  158717  158719  158723  158729  158731  158737  158741  158743  158747  158753  158759  158761  158767  158771  158773  158779  158783  158789  158797  447090 

14.方程所表示的曲线不可能是

    A.抛物线                      B.圆

    C.双曲线                      D.直线

试题详情

13.辆汽车通过某一段公路时的时速的频率分布直方图如图所示,时速在的汽车大约有

    A.辆                         B.辆  

    C.辆                         D.80辆

试题详情

12.抛一枚均匀硬币,正面或反面出现的概率相同。

数列定义如下:

N*),那么的概率是______.

试题详情

11.如图,目标函数仅在闭区域OACB的顶点C处取得最小值,则的取值范围是____________ . 

试题详情

10.设是球心的半径上的两个三等分点,过分别作垂直于半径的两个截面,则这两个截面的面积之比为______.(填:小比大的比值)

试题详情

9.在等差数列中,设,对任意,有_____________.

试题详情

8.若直线与圆没有公共点,则实数的取值范围是___________.

试题详情

7.计算:设向量,若向量与向量垂直,则实数  

试题详情

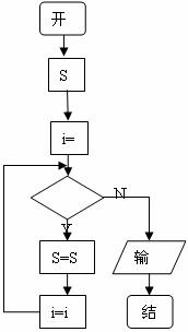
6.图给出的是计算的值的一个程序框图,其中判断框内应填入的条件是__________.

试题详情

5.的展开式中的系数为     

试题详情


同步练习册答案