0  160331  160339  160345  160349  160355  160357  160361  160367  160369  160375  160381  160385  160387  160391  160397  160399  160405  160409  160411  160415  160417  160421  160423  160425  160426  160427  160429  160430  160431  160433  160435  160439  160441  160445  160447  160451  160457  160459  160465  160469  160471  160475  160481  160487  160489  160495  160499  160501  160507  160511  160517  160525  447090 

7.等比数列            (   )

    A.            B.-           C.2             D.-2

试题详情

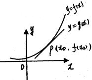
6.已知可导函数在点处切线为(如图),设,则       

    A.的极大值点

    B.的极小值点

    C.的极值点

    D.的极值点

试题详情

5.总体密度曲线

    A.            B.            C.            D.

试题详情

4.已知随机变量的值                

    A.4,1.6         B.7,0.8         C.7,6.4         D.4,0.8

试题详情

3.已知随机变量分布列为    

    A.            B.            C.1             D.2

试题详情

2.A、B、C、D、E,5人站成一排,A,B不相邻且A不在两端的概率为

    A.           B.            C.           D.

试题详情

1.若对夫妇排成一列,则每一位丈夫都排在妻子后面的概率为 

    A.          B.          C.           D.

试题详情

22.设函数时取极小值。

  (1)若上是减函数;

  (2)若,求实数b的取值范围。

试题详情

21.已知函数时取得极值。

  (1)求a的取值范围;

  (2)若极大值与极小值的和为,求a,b的值。

试题详情

20.函数

  (1)若上递增,求实数a的范围。

  (2)若的极值点,求在[1,a]上的最大值。

试题详情


同步练习册答案