0  173591  173599  173605  173609  173615  173617  173621  173627  173629  173635  173641  173645  173647  173651  173657  173659  173665  173669  173671  173675  173677  173681  173683  173685  173686  173687  173689  173690  173691  173693  173695  173699  173701  173705  173707  173711  173717  173719  173725  173729  173731  173735  173741  173747  173749  173755  173759  173761  173767  173771  173777  173785  447090 

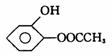
27.(12 分)A 、B 、C 、D 四种芳香族化合物都是某些植物挥发油中的主要成分,有的是药物,有的是香料。它们的结构简式如下所示:

请回答下列问题:

  (1)写出D 中含氧官能团的名称:__________________; l mol B 能与________molBr2反应;

  (2)用A 、B 、C 、D 填空:

① 能发生银镜反应的有__________________

② 既能使FeCl3溶液显紫色,又能和NaHCO3 反应放出气体的有______________

  (3)如图:

C 经一步反应可生成E , E 是B 的同分异构体,则反应① 属于_______________反应(填反应类型名称);反应② 的化学方程式为____________________________;

  (4)同时符合① 化合物是1 , 2 一二取代苯,② 苯环上的两个取代基分别为羟基和

含有一COO一结构基团要求的D的同分异构体有4 种。

其中两种是,则另外两种的结构简式为

________________________________________________________________

写出与足量NaOH溶液反应的化学方程式:

__________________________________________________________________。

试题详情

26.( 8 分)已知A 是一种常见的盐,B 、C 、K 为常见金属,K 的氧化物是耐火材料,且能溶于碱溶液。G 为淡黄色固体,H 、F 为无色气体,F 在空气中会变成红棕色。它们的转化关系如下图所示(个别产物略去)。

请回答下列问题:

  (1)A 的化学式为______________________

  (2)在反应① ② ③ ④ 中属于置换反应的是___________________________

  (3)反应② 的离子方程式为__________________________________________

  (4)反应⑤ 的总反应化学方程式为__________________________________(填序号)。

试题详情

25. ( 8 分)现有A 、B 、C 、D 、E 、F 六种短周期元素,原子序数依次增大。已知A 与D 、C 与E 分别同主族,D 、E 、F 同周期.A、B 的最外层电子数之和与C 的最外层电子数相等,A 分别与B 、C 形成电子总数相等的分子,且A 与C 形成的化合物常温下均为液态,A 分别与E 、F 形成电子总数相等的气体分子。

请回答下列问题:

  (1)元素F 在周期表中的位置________________________________________;

  (2) A 、C 、D 三种元索可组成一种常见化合物,该化合物的化学式________________;生产该化合物和单质F 的工业称为____________工业;

  (3)B 与F 形成的化合物分子中,各原子均达8 电子结构,则该分子的电子式为

_________________________________________;

  (4)已知0 . 5 mol EC2 被C2 氧化成气态EC3,放出49.15kJ热量,其热化学方程

式为_______________________________________________________________;

  (5) A 、B 、C 以原子个数比4 : 2 : 3 所形成的化合物,晶体类型为________。

试题详情

24.(10分)(1)在氯化铁溶液中,加入难溶的碳酸钙粉末,发现碳酸钙粉末逐渐溶解,同时产生的现象有:

①____________________________________________________________________

②____________________________________________________________________。

  (2)向含有氯化钡的氯化铁溶液中通入二氧化硫,有白色沉淀,此外还可产生的现象是___________________________________________________________,其离子反应方程式为__________________________________________________________。

  (3)欲从酸化的氯化铁溶液中制得氯化铁晶体(FeCl3· 6H2O) 实验基本操作是:将溶液蒸发、浓缩、______________________、_________________、过滤、干操。蒸发浓缩中使用的陶瓷仪器名称是________________________。玻璃棒在过滤中的作用:__________

试题详情

22.将一定量的钠铝合金置于水中,合金全部溶解,得到20 mL pH=14的溶液,然后用

1mol·L-1的盐酸滴定,至沉淀质量最大时,消耗盐酸40 mL ,原合金中钠的质量为(   )

    A.0.46 g        B.0.69 g         C.0.92 g         D.0.23 g.

第II 卷(非选择题,共56 分)

20080917
 

已知某温度下,Kw=l×10-13。A为酸溶液,其pH=a;B为碱溶液,其pH=b。

  (l)若A为强酸,B为强碱,且a+b=13,两者等体积混合后,溶液的pH=

_________________;若此时溶液中阳离子浓度大于阴离子浓度,其原因可能是(用文字表述)___________________________________________________________

  (2)若A的化学式为HR, B的化学式为MOH,且a+b ==3。若两者等体积混合后溶液显碱性,则其原因可能是_________________________________________,

此混合后的溶液中,微粒浓度大小关系一定正确的是_______________填序号)。

① c(MOH ) > c ( M + ) > c ( R)> c ( H + ) > c ( OH)

② c( HR ) > c ( M + ) > c ( R)> c ( OH)> c ( H + )

③ c( M + )> c ( R)> c ( H + ) > c ( OH)

④ c( M + ) > c ( R)> c ( OH)>c(H + )

⑤ c( M + ) + c ( H + ) == c ( R )+ c ( OH)

⑥ c( MOH) == c (H +)一c(OH)

试题详情

21.电瓶车所用电池一般为铅蓄电池,是一种典型的可充电电池,如下图所示。电池总反应式为:

Pb+PbO2+4H+ + SO42=2PbSO4+2H2O。则下列说法正确的是               (   )

    A.放电时:电流方向由B 到A

B.放电时:正极反应是Pb一2e+SO42PbSO4。    

    C.充电时:铅蓄电池的负极应与充电器电源的正极相连     

    D.充电时:阳极反应是PbSO4一2e+2H2O=PbO2+SO42+4H+

试题详情

20.下列实验结果符合下边图像所示关系的是                             (   )   

    A.将CO2通入KA1O2 溶液               

    B.H2O2溶液中加入少量MnO2                           

        C.向浓的CH3COOH 溶液中不断加水

    D.将氨气通入醋酸溶液中。

试题详情

19.根据相关化学原理,下列推断正确的是                             (   )  

    A.若弱酸HA 的酸性强于弱酸HB,则同浓度钠盐溶液的pH:NaA<NaB       

    B.若X原子的质子数为a,中子数为b,则X 的质量数为:a一b        

    C.若R2离子和M+离子的电子层结构相同,则R2和M+的化学性质相同     

    D.若有反应A2+2D=2A十D2,则氧化性:D2>A2

试题详情

18.下图是红磷P(s)和Cl2(g)发生反应生成PC13(g)和PC15(g)的反应过程和能量关系图。

其中PCl5(g)分解成PC13 (g)和Cl2的反应是一个可逆反应。温度t℃时,在密闭器中加入0.6molPCl5,达平衡时PCl5还剩0.45mol,其分解率为α。则下列推断正确的是(   )

A.α等于25%

B.若升高温度,平衡时PCl5的分解率小于a

C.若起始时加人0.6 molPC13和0.6 molCl2,以相同的条件进行反应,则平衡时PC13转化率为3α

D.其他条件不变,增大压强,PCl5的转化率小于α

试题详情

17.下列各项操作中,不发生“先产生沉淀,然后沉淀又溶解”现象的是:①向饱和碳酸钠溶液中通入过量的CO2②向Fe(OH)3胶体中逐滴加入过量的稀硫酸③ 向AgNO3溶液中逐滴加入过量氨水④ 向硅酸钠溶液中逐滴加入过量的盐酸      (   )  

    A.① ②        B.① ③        C.① ④         D.② ③

试题详情


同步练习册答案