0  173619  173627  173633  173637  173643  173645  173649  173655  173657  173663  173669  173673  173675  173679  173685  173687  173693  173697  173699  173703  173705  173709  173711  173713  173714  173715  173717  173718  173719  173721  173723  173727  173729  173733  173735  173739  173745  173747  173753  173757  173759  173763  173769  173775  173777  173783  173787  173789  173795  173799  173805  173813  447090 

6.生活中碰到的某些问题,常涉及到化学知识,下列分析不正确的是

   A.热分解生成的气态水可覆盖火焰,驱逐,稀释可燃气体,分解产物较快地中和塑料燃烧过程中产生的酸性及腐蚀性气体,所以它们可以作为未来发展方向的无机阻燃剂

   B.百事公司的百事可乐和“七喜”、“美年达”等碳酸饮料一个很大的不同是没有添加苯甲酸钠作防腐剂,因为其中含有磷酸,酸性比较强的环境下细菌不容易繁殖

   C.苯酚具有杀菌消毒作用,药皂中常常掺有少量苯酚,所以我们可将苯酚直接涂抹在皮肤上起消毒作用

   D.用银器盛放鲜牛奶,溶入的极微量的银离子,可杀死牛奶中的细菌,防止牛奶变质

试题详情

5.硝基苯酚的分子内和分子之间都存在氢键,由于硝基和羟基的距离不同,使邻硝基苯酚的分子内氢键多于间硝基苯酚的分子内氢键,则邻硝基苯酚和问硝基苯酚的沸点比较是  

   A.邻硝基苯酚高于间硝基苯酚

   B.邻硝基苯酚等于间硝基苯酚

   C.邻硝基苯酚低于问硝基苯酚

   D.无法比较

试题详情

4.100℃时,将0.1mol置于1L密闭的烧瓶中,然后将烧瓶放人100℃的恒温槽中。烧瓶内的气体逐渐变为红棕色:N2O4(g)2NO2(g)。下列结论不能说明上述反应在该条件下已经达到平衡状态的是

  ①烧瓶内气体的颜色不再加深②的消耗速率与的生成速率之比为1:2

  ③的生成速率与消耗速率相等④的物质的量浓度不变⑤烧瓶内气体的质量不再变化⑥烧瓶内气体的压强不再变化⑦烧瓶内气体的密度不再变化⑧烧瓶内气体的平均相对分子质量不再变化

  A.②⑤⑦           B.①③④⑥⑧      C.只有③          D.只有⑤

试题详情

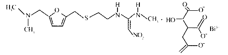
3.雷尼替丁枸橼酸铋(如下图)是根据2005年诺贝尔医学奖的成果研制的一种抗溃疡病新药,该药物具有独特的理化特性及抑制胃酸分泌、保护胃黏膜等卓越的抗溃疡机制。

有关RBC的说法肯定不正确的是

A.该物质属于氨基酸的盐类

B.该物质可以与酸发生反应

C.该物质水解生成的沉淀对溃疡创面有保护作用

D.该物质能使溴水和酸性高锰酸钾溶液褪色

试题详情

2.据称2004年冬季将是自1869年人类有气象观测记录以来的四大暖冬之最。江苏气温预计较常年偏高4-6℃。这与下列各组中的两种气体在大气中的含量都有关系的是

   A.     B.、CO       C.      D.

试题详情

1.据估计,地球上的绿色植物通过光合作用每年能结合来自CO2中的碳1500亿吨和来自水中的氢250亿吨,并释放4000亿吨氧气。光合作用的过程一般可用下式表示:

   下列说法不正确的是

   A.某些无机物通过光合作用可转化为有机物

   B.碳水化合物就是碳和水组成的化合物

   C.叶绿素是光合作用的催化剂

   D.增加植被,保护环境是人类生存的需要

试题详情

28.CO、CH4均为可燃性气体。

(1)等质量的CO和CH4在相同条件下的密度之比为:___________________;

(2)等体积的CO和CH4在相同条件下分别完全燃烧,转移的电子数之比为:__________ ;

(3)将一定量的CO 、CH4与O2通入一装有足量Na2O2的密闭容器中,最后测得容器内压强为0,则CH4与O2的体积比为:_____________________;

(4)将标准状况下平均相对分子质量为20的CO与CH4的混合气体8.96L完全燃烧后,将所得产物通入含KOH 0.5mol的水溶液中,求所得溶液中溶质的组成。(写出简要的解题过程)。

试题详情

27.(12分)某校化学实验兴趣小组为了证明在实验室制备Cl2的过程中会有水蒸气和HCl挥发出来,甲同学设计了如图所示的实验装置,按要求回答问题。

(1)请根据甲同学的意图,连接相应的装置,接口顺序:

b接                            接a。

(2)U形接管中所盛试剂的化学式为     

(3)装置③中CCl4的作用是      

(4)乙同学认为甲同学的实验有缺陷,不能证明最终通入AgNO3溶液中的气体只有一种。

为了确保实验结论的可靠性,证明最终通入AgNO3溶液的气体只有一种,乙同学提出在某两个装置之间再加装置⑤。你认为装置⑤应加在     之间(填装置序号)瓶中可以放入     

试题详情

26.在足量的稀氯化亚铁溶液中,加入1~2滴液溴,振荡后溶液变为黄色。

    ①甲同学认为这不是发生化学反应所致,使溶液变黄色的物质是:     (填粒子的化学式,下同);乙同学认为这是发生化学反应所致,使溶液变黄色的物质      

②现提供以下试剂:

A.酸性高锰酸钾溶液            B.氢氧化钠溶液

C.四氯化碳                   D.硫氰化钾溶液

请判断哪位同学的推断是正确的,并用两种方法加以验证,写出选用的试剂编号及

实验中观察到的现象:

      同学正确
选用试剂
实验现象
第一种方法
 
 
第二种方法
 
 

③根据上述实验推测,若在稀溴化亚铁溶液中通入氯气,首先被氧化的离子是       ,写出在溴化亚铁与氯气以物质的量之比为4:5反应时的总离子方程式:        

试题详情

25.室温下,单质A、B、C、G分别为固体、液体、无色气体、黄绿色气体,H溶液遇KSCN

显红色,在合适反应条件下,它们可以按下面框图进行反应。又知E溶液是无色的。请回答:

(1)A是         B是        C是        (请填化学式)

(2)E的电子式________________________

(3)写出A与B反应的化学方程式:__________________________________________

试题详情


同步练习册答案