0  174030  174038  174044  174048  174054  174056  174060  174066  174068  174074  174080  174084  174086  174090  174096  174098  174104  174108  174110  174114  174116  174120  174122  174124  174125  174126  174128  174129  174130  174132  174134  174138  174140  174144  174146  174150  174156  174158  174164  174168  174170  174174  174180  174186  174188  174194  174198  174200  174206  174210  174216  174224  447090 

3.化学科学需要借助化学专用语言描述,下列有关化学用语正确的是

A.CO2的电子式:

B.Cl-的结构示意图:

C.乙烯的结构简式:C2H4

D.H2CO3的电离方程式:H2CO32H++CO32-

试题详情

2.下列有关物质分类的说法中正确的是

A.石英玻璃、普通玻璃都属于硅酸盐

B.CH2Cl2、C2H6都是纯净物

C.煤、石油都属于可再生能源

D.纯碱、烧碱都属于碱类物质

试题详情

1.三聚氰胺俗称蜜胺,主要用于生产三聚氰胺一甲醛树脂。三聚氰胺微溶于冷水,易结晶,可溶于热水,低毒。在一般情况下较稳定,但在高温下可能会分解放出氰化物。其结构式如下图,下列有关说法不正确的是

A.用三聚氰胺制造的餐具不可以放进微波炉中加热使用

B.长期摄入三聚氰胺会造成生殖、泌尿系统的损害,使膀胱、肾部结石

C.该化合物属于芳香烃

D.三聚氰胺呈弱碱性,可与盐酸、硫酸等酸反应形成三聚氰胺盐

试题详情

30.一定质量的某烃在足量氧气中充分燃烧,生成11g CO2和5.4g水,该烃既不能使酸性高锰酸钾溶液褪色,也不能使溴水褪色。

(1)求该烃的分子式。

(2)若该烃的一氯取代产物只有一种,试写出该烃的结构简式。

试题详情

29.(7分)某课外活动小组用如图所示进行乙醇的催化氧化实验探究,试管A中盛有无水乙醇,B中装有CuO(用石棉绒作载体),试管C中放的是蒸馏水。请回答下列问题:

(1)向试管A中鼓入空气的目的是               

(2)玻璃管B中可观察到的现象是               

相关化学方程式是                    

(3)在实验过程中试管C导管口有气泡冒出,从液面逸出的气体的主要成分是____________。实验后在试管C的溶液中加入新制的Cu(OH)2悬浊液,加热,现象是                   

(4)烧杯中水的作用是                      

试题详情

28.(4分)用1.000mol/L的盐酸滴定25.00mL未知浓度的NaOH溶液,下列操作对实验结果有无影响?(填“偏高”、“偏低”、“无影响”)

(1)将25.00mL NaOH溶液注入锥形瓶后用少量蒸馏水稀释        

(2)用蒸馏水洗涤滴定管后直接注入1.000 mol/L的盐酸进行滴定     

(3)滴定后俯视读数                         

(4)滴定管尖嘴部分滴定前有气泡,滴定后气泡消失          

试题详情

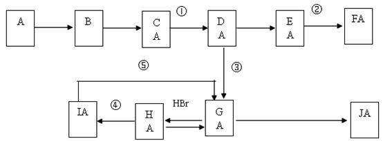
27.(11分)已知:A是最简单的有机物,B为黑色固体,D俗称电石气,G是衡量一个国家石油化学工业水平的重要标志之一,F、J是日常生活中常见的两种塑料,A--J十种物质之间的转化关系如下:

试回答:

(1)下列各反应的反应类型是:

    反应  ③   反应  ④    反应  ⑤    反应;

(2)写出下列各物质的结构简式 A      H      J    

(3)写出①、⑤反应的化学方程式:

                           

                          

试题详情

26.(7分)某混合物A,含有KAl(SO4)2、Al2O3和Fe2O3,在一定条件下可实现下图所示的物质之间的转化。

请回答下列问题:

(1)C、D、G 这3种物质的化学式为:

C          D          G        

(2)沉淀C与单质H反应的化学方程式为            

   溶液E与过量稀氨水反应的离子方程式为          

试题详情

25.(3分)已知分子式为C6H6的有机物结构有多种,其中的两种为:

这两种结构的区别表现在:

(1)定性方面:Ⅱ能         而Ⅰ不能。

A.被酸性高锰酸钾溶液氧化    B.与溴水发生加成反应

C.与溴单质发生取代反应     D.与氢气发生加成反应

(2)定量方面:1mol C6H6与H2加成时:

Ⅰ需H2          mol,而Ⅱ需H2        mol。

试题详情

24.(9分)(1)向稀HNO3中加入过量Fe粉,反应后过滤。取少量滤液滴加NaOH溶液的现象是     ,反应的化学方程式为                      

(2)在4份0.01mol/L氨水中分别加入下列各物质:(填序号)

A.浓氨水   B.蒸馏水   C.少量NaOH固体   D.少量H2SO4

①能使c(OH-)减小、c(NH4+)增大的是             

②能使c(OH-)增大、c(NH4+)减小的是             

③能使c(OH-) 和c(NH4+)都增大的是             

④能使c(OH-) 和c(NH4+)都减小的是               

试题详情


同步练习册答案