0  293674  293682  293688  293692  293698  293700  293704  293710  293712  293718  293724  293728  293730  293734  293740  293742  293748  293752  293754  293758  293760  293764  293766  293768  293769  293770  293772  293773  293774  293776  293778  293782  293784  293788  293790  293794  293800  293802  293808  293812  293814  293818  293824  293830  293832  293838  293842  293844  293850  293854  293860  293868  447090 

24、(4分)(天津市2009年中考化学冲刺模拟题三)

酒精灯是中学实验中常用的加热仪器。某研究性学习小组对酒精灯燃烧产生的气体成分进行了探究。

(1)    提出问题:酒精燃烧产生的气体中会含有哪些物质?

(2)    猜想与验证:酒精燃烧产生的气体中含有二氧化碳,验证二氧化碳的方法是     

                    ,出现的现象是        ,验证二氧化碳的化学方程式是                   

试题详情

23、(7分)(天津市2009年中考化学冲刺模拟题三)

小明同学在学习了燃烧与燃料的有关知识后,观察到家庭用的燃煤通常加工成蜂窝状,这样会燃烧得更充分。由此他联想到细铁丝在空气中不能燃烧,而在氧气中能剧烈燃烧。于是引发了思考:哪些因素能影响可燃物燃烧的剧烈程度呢?他做出了两种猜想并进行了实验探究。请你回答有关问题:

(1)他提出的两种猜想是:

  ①                               

(2)请选择其中的一种猜想,设计实验加以探究(你所选择的猜想序号是      ):

实验操作
实验现象
实验结论
 
 
 
 
 

(3)为了使燃料能够得到充分利用,节约能源,请你结合燃料使用的实际,提出一条具体建议:                                  

试题详情

22.(6分) (天津市2009年中考化学冲刺模拟题六)某兴趣小组从铜器上取下绿色粉未,设计如下实验步骤进行探究铜绿的组成。

(1) 写出:B物质的化学式     ;铜绿的组成元素         

(2) 我国古代有“曾青得铁则化为铜”的记载,这是现代湿法冶金的原理。这与上述实验方案中第   步骤相似;化学方程式为             

(3) 写出第③步反应的化学方程式是                 

(4) 在设计方案中有三种冶炼铜的方法,通过比较请从资源、能源或环境等方面,说出其中一种方案所具有的优点:            

试题详情

21. (天津市2009年中考化学冲刺模拟题二)

高铁酸钾(K2FeO4)是一种集氧化、吸附、杀菌、灭藻、脱色、除臭等为一体的新型高效水处理剂。下列关于该物质的说法正确的是

A.它是一种氧化物   B. K2FeO4中的铁元素的化合价为+6价

C.它是一种混合物   D. K2FeO4中含有两种非金属元素

试题详情

20、 (天津市2009年中考化学冲刺模拟题六)下列化学反应中,符合右图卡通画情景的是

  A.C+2CuO     2Cu+CO2

  B Cu(NO3)2+2Ag.  Cu+2AgNO3      

  C.Fe2O3+3CO    2Fe+3CO2

  D.Fe+H2SO4       FeSO4+H2

试题详情

19. (天津市2009年中考化学冲刺模拟题六)下图形象地表示了氯化钠的形成过程。下列相关叙述中不正确的是

 

A.钠原子在化学反应中容易失去电子   B.钠原子与钠离子都不显电性

C.氯原子得1个电子形成氯离子     D.氯化钠由钠离子和氯离子构成

试题详情

18. (天津市2009年中考化学冲刺模拟题二)

如图所示,向小试管中分别加入一定量的下列物质,

右侧U型管中液面发生明显变化,加入的物质不会是

A硝酸氨固体  B烧碱固体  C蔗糖固体  D生石灰固体

试题详情

17. (天津市2009年中考化学冲刺模拟题二)

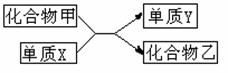
根据下列物质之间的相互转化关系回答:

(1)若乙的溶液是浅绿色,Y是红色固体,则X是      

(2)常温下乙是一种无色气体,则X是        

(3)在常温下若甲是固体,乙为无色液体,则X是        

试题详情

16、(四川省邛崃市2009年中考化学模拟试卷二) (4分)某同学做了如下家庭实验:在一个玻璃杯底部放入一支短蜡烛,并铺一层纯碱。点燃蜡烛后,沿玻璃杯壁倒人一些醋(主要成分是醋酸),可观察到的实验现象是____________________________和____________________________,说明二氧化碳具有的性质是_______________,由此可推出二氧化碳的用途之一是___________。

试题详情

15、(2分) (四川省邛崃市2009年中考化学模拟试卷二)现有A、B两个塑料软瓶,A瓶内装有CO和O2的混合气体,B瓶内装有CO2气体。某同学从野外捉来了两只活蝗虫,分别放人两个塑料软瓶中,拧紧瓶盖。结果,两只蝗虫很快都死了。请根据下面所给选项回答,造成蝗虫死亡的主要原因是:

A瓶_____,B瓶____。

①没有食物   ②气体不能供给呼吸   ③气体有毒   ④活动空间太小

试题详情


同步练习册答案