0  314498  314506  314512  314516  314522  314524  314528  314534  314536  314542  314548  314552  314554  314558  314564  314566  314572  314576  314578  314582  314584  314588  314590  314592  314593  314594  314596  314597  314598  314600  314602  314606  314608  314612  314614  314618  314624  314626  314632  314636  314638  314642  314648  314654  314656  314662  314666  314668  314674  314678  314684  314692  447090 

24. 解:(1)∆ABE∽∆DAE,  ∆ABE∽∆DCA                   1分

   ∵∠BAE=∠BAD+45°,∠CDA=∠BAD+45°

   ∴∠BAE=∠CDA

   又∠B=∠C=45°

   ∴∆ABE∽∆DCA                           3分

   (2)∵∆ABE∽∆DCA

   ∴

   由依题意可知CA=BA=

   ∴

   ∴m=                              5分

   自变量n的取值范围为1<n<2.                   6分

   (3)由BD=CE可得BE=CD,即m=n

   ∵m=

∴m=n=

OB=OC=BC=1

OE=OD=-1

D(1-, 0)                         7分

BD=OBOD=1-(-1)=2-=CE, DE=BC-2BD=2-2(2-)=2-2

BD+CE=2 BD=2(2-)=12-8, DE=(2-2)= 12-8

BD+CE=DE                        8分

(4)成立                            9分

证明:如图,将∆ACE绕点A顺时针旋转90°至∆ABH的位置,则CE=HB,AE=AH,

ABH=∠C=45°,旋转角∠EAH=90°.

连接HD,在∆EAD和∆HAD

AE=AH, ∠HAD=∠EAH-∠FAG=45°=∠EAD, AD=AD.

∴∆EAD≌∆HAD

DH=DE

又∠HBD=∠ABH+∠ABD=90°

BD+HB=DH

BD+CE=DE                       12分

试题详情

24. 如图11,在同一平面内,将两个全等的等腰直角三角形ABCAFG摆放在一起,A为公共顶点,∠BAC=∠AGF=90°,它们的斜边长为2,若∆ABC固定不动,∆AFG绕点A旋转,AFAG与边BC的交点分别为DE(点D不与点B重合,点E不与点C重合),设BE=m,CD=n.

(1)请在图中找出两对相似而不全等的三角形,并选取其中一对进行证明.

(2)求m与n的函数关系式,直接写出自变量n的取值范围.

  (3)以∆ABC的斜边BC所在的直线为x轴,BC边上的高所在的直线为y轴,建立平面直角坐标系(如图12).在边BC上找一点D,使BD=CE,求出D点的坐标,并通过计算验证BD+CE=DE.

  (4)在旋转过程中,(3)中的等量关系BD+CE=DE是否始终成立,若成立,请证明,若不成立,请说明理由.

   

(08湖北恩施24题解析)六、(本大题满分12分)

试题详情

6.(08湖北恩施)六、(本大题满分12分)

试题详情

5.(08贵州贵阳)25.(本题满分12分)(本题暂无答案)

某宾馆客房部有60个房间供游客居住,当每个房间的定价为每天200元时,房间可以住满.当每个房间每天的定价每增加10元时,就会有一个房间空闲.对有游客入住的房间,宾馆需对每个房间每天支出20元的各种费用.

设每个房间每天的定价增加元.求:

(1)房间每天的入住量(间)关于(元)的函数关系式.(3分)

(2)该宾馆每天的房间收费(元)关于(元)的函数关系式.(3分)

(3)该宾馆客房部每天的利润(元)关于(元)的函数关系式;当每个房间的定价为每天多少元时,有最大值?最大值是多少?(6分)

试题详情

4.(08广东深圳)22.如图9,在平面直角坐标系中,二次函数的图象的顶点为D点,与y轴交于C点,与x轴交于A、B两点, A点在原点的左侧,B点的坐标为(3,0),

OB=OC ,tan∠ACO=

(1)求这个二次函数的表达式.

(2)经过C、D两点的直线,与x轴交于点E,在该抛物线上是否存在这样的点F,使以点A、C、E、F为顶点的四边形为平行四边形?若存在,请求出点F的坐标;若不存在,请说明理由.

(3)若平行于x轴的直线与该抛物线交于M、N两点,且以MN为直径的圆与x轴相切,求该圆半径的长度.

(4)如图10,若点G(2,y)是该抛物线上一点,点P是直线AG下方的抛物线上一动点,当点P运动到什么位置时,△APG的面积最大?求出此时P点的坐标和△APG的最大面积.

(08广东深圳22题解析)22.(1)方法一:由已知得:C(0,-3),A(-1,0) …1分

将A、B、C三点的坐标代入得       ……………………2分

解得:                     ……………………3分

所以这个二次函数的表达式为:      ……………………3分

方法二:由已知得:C(0,-3),A(-1,0)      ………………………1分

设该表达式为:            ……………………2分

将C点的坐标代入得:               ……………………3分

所以这个二次函数的表达式为:      ……………………3分

(注:表达式的最终结果用三种形式中的任一种都不扣分)

(2)方法一:存在,F点的坐标为(2,-3)       ……………………4分

理由:易得D(1,-4),所以直线CD的解析式为:

∴E点的坐标为(-3,0)                ……………………4分

由A、C、E、F四点的坐标得:AE=CF=2,AE∥CF

∴以A、C、E、F为顶点的四边形为平行四边形

∴存在点F,坐标为(2,-3)              ……………………5分

方法二:易得D(1,-4),所以直线CD的解析式为:

∴E点的坐标为(-3,0)                ………………………4分

∵以A、C、E、F为顶点的四边形为平行四边形

∴F点的坐标为(2,-3)或(―2,―3)或(-4,3) 

代入抛物线的表达式检验,只有(2,-3)符合

∴存在点F,坐标为(2,-3)              ………………………5分

(3)如图,①当直线MN在x轴上方时,设圆的半径为R(R>0),则N(R+1,R),

代入抛物线的表达式,解得  …………6分

②当直线MN在x轴下方时,设圆的半径为r(r>0),

则N(r+1,-r),

代入抛物线的表达式,解得  ………7分

∴圆的半径为.  ……………7分

(4)过点P作y轴的平行线与AG交于点Q,

易得G(2,-3),直线AG为.……………8分

设P(x),则Q(x,-x-1),PQ

        ……………………9分

时,△APG的面积最大

此时P点的坐标为.    ……………………10分

试题详情

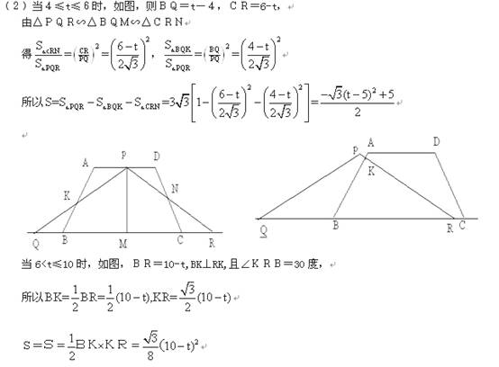
3.(08广东广州)25、(2008广州)(14分)如图11,在梯形ABCD中,AD∥BC,AB=AD=DC=2cm,BC=4cm,在等腰△PQR中,∠QPR=120°,底边QR=6cm,点B、C、Q、R在同一直线l上,且C、Q两点重合,如果等腰△PQR以1cm/秒的速度沿直线l箭头所示方向匀速运动,t秒时梯形ABCD与等腰△PQR重合部分的面积记为S平方厘米

(1)当t=4时,求S的值

(2)当,求S与t的函数关系式,并求出S的最大值

图11
 

(08广东广州25题解析)25.(1)t=4时,Q与B重合,P与D重合,

重合部分是

试题详情

2.(08甘肃白银等9市)28.(12分)如图20,在平面直角坐标系中,四边形OABC是矩形,点B的坐标为(4,3).平行于对角线AC的直线m从原点O出发,沿x轴正方向以每秒1个单位长度的速度运动,设直线m与矩形OABC的两边分别交于点M、N,直线m运动的时间为t(秒).

(1) 点A的坐标是__________,点C的坐标是__________;

 (2) 当t=    秒或    秒时,MN=AC;

(3) 设△OMN的面积为S,求S与t的函数关系式;

(4) 探求(3)中得到的函数S有没有最大值?若有,求出最大值;若没有,要说明理由.

(08甘肃白银等9市28题解析)28. 本小题满分12分

解:(1)(4,0),(0,3);  ·················································································· 2分

(2) 2,6;  ·········································································································  4分

(3) 当0<t≤4时,OM=t.

由△OMN∽△OAC,得

ON=,S=.  ····································  6分

当4<t<8时,

如图,∵ OD=t,∴ AD= t-4.

方法一:

由△DAM∽△AOC,可得AM=,∴ BM=6-. ····························  7分

由△BMN∽△BAC,可得BN==8-t,∴ CN=t-4. ··································  8分

S=矩形OABC的面积-Rt△OAM的面积- Rt△MBN的面积- Rt△NCO的面积

=12--(8-t)(6-)-

=.  ··························································································· 10分

方法二:

易知四边形ADNC是平行四边形,∴ CN=AD=t-4,BN=8-t.·································· 7分

由△BMN∽△BAC,可得BM==6-,∴ AM=.······ 8分

以下同方法一.

 (4) 有最大值.

方法一:

当0<t≤4时,

∵ 抛物线S=的开口向上,在对称轴t=0的右边, S随t的增大而增大,

∴ 当t=4时,S可取到最大值=6; ················ 11分

当4<t<8时,

∵ 抛物线S=的开口向下,它的顶点是(4,6),∴ S<6.

综上,当t=4时,S有最大值6. ·······································································  12分

方法二:

∵ S=

∴ 当0<t<8时,画出S与t的函数关系图像,如图所示. ······························  11分

显然,当t=4时,S有最大值6.  ···································································  12分

说明:只有当第(3)问解答正确时,第(4)问只回答“有最大值”无其它步骤,可给1分;否则,不给分.

试题详情

1.(08福建莆田)26.(14分)如图:抛物线经过A(-3,0)、B(0,4)、C(4,0)三点.

  (1) 求抛物线的解析式.

  (2)已知AD = AB(D在线段AC上),有一动点P从点A沿线段AC以每秒1个单位长度的速度移动;同时另一个动点Q以某一速度从点B沿线段BC移动,经过t 秒的移动,线段PQ被BD垂直平分,求t的值;

 (3)在(2)的情况下,抛物线的对称轴上是否存在一点M,使MQ+MC的值最小?若存在,请求出点M的坐标;若不存在,请说明理由。

(注:抛物线的对称轴为)

   

(08福建莆田26题解析)26(1)解法一:设抛物线的解析式为y = a (x +3 )(x - 4)

   因为B(0,4)在抛物线上,所以4 = a ( 0 + 3 ) ( 0 - 4 )解得a= -1/3

   所以抛物线解析式为

解法二:设抛物线的解析式为

依题意得:c=4且  解得

 所以  所求的抛物线的解析式为

(2)连接DQ,在Rt△AOB中,

所以AD=AB= 5,AC=AD+CD=3 + 4 = 7,CD = AC - AD = 7 – 5 = 2

因为BD垂直平分PQ,所以PD=QD,PQ⊥BD,所以∠PDB=∠QDB

因为AD=AB,所以∠ABD=∠ADB,∠ABD=∠QDB,所以DQ∥AB

所以∠CQD=∠CBA。∠CDQ=∠CAB,所以△CDQ∽ △CAB

  即

所以AP=AD – DP = AD – DQ=5 –=  

所以t的值是

(3)答对称轴上存在一点M,使MQ+MC的值最小

理由:因为抛物线的对称轴为

所以A(- 3,0),C(4,0)两点关于直线对称

连接AQ交直线于点M,则MQ+MC的值最小

过点Q作QE⊥x轴,于E,所以∠QED=∠BOA=900

   DQ∥AB,∠ BAO=∠QDE,  △DQE ∽△ABO

  即

所以QE=,DE=,所以OE = OD + DE=2+=,所以Q()

设直线AQ的解析式为

  由此得

所以直线AQ的解析式为  联立

由此得  所以M

则:在对称轴上存在点M,使MQ+MC的值最小。

试题详情

1.整体把握。本文标题“生命的声音”有哪几层含义?

[解题指导]这道题目考查的是对文章内容和中心的整体把握,明确作者的写作意图,抓住关键语句来理解的方法依然适用。除此之外,做题时还要根据不同题目的要求揣摩出题者的意图,这样答题才会更准确。标题一语双关既指蚊子发出的声音,又指在死亡临近时,矿工从蚊子的声音里所感受到的生命的呼唤。

[解题误区]抓不住本题作者写作的目的,答题时只能回答表层意思,抓不到问题的实质。

试题详情

54.C  要将“中华民国”的内涵与五色旗联系在一起解读。

试题详情


同步练习册答案