题目列表(包括答案和解析)

 0  55455  55463  55469  55473  55479  55481  55485  55491  55493  55499  55505  55509  55511  55515  55521  55523  55529  55533  55535  55539  55541  55545  55547  55549  55550  55551  55553  55554  55555  55557  55559  55563  55565  55569  55571  55575  55581  55583  55589  55593  55595  55599  55605  55611  55613  55619  55623  55625  55631  55635  55641  55649  447348 

6.给出一个如图所示的流程图,若要使输入的x值与输出的y值相等,则这样的x值的个数是( )

A.1             B.2

C.3             D.4

解析:选C.当x≤2时,由x2x得:x=0,1满足条件;

当2<x≤5时,由2x-3=x得:x=3,满足条件;

x>5时,由=x得:x=±1,不满足条件,故这样的x值有3个.故选C.

试题详情

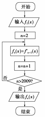
4.(2010年深圳调研)在如图所示的程序框图中,当n∈N*(n>1)时,函数fn(x)表示函数fn1(x)的导函数,若输入函数f1(x)=sinx+cosx,则输出的函数fn(x)可化为( )

A.sin(x-)

B.-sin(x-)

C.sin(x+)

D.-sin(x+)

解析:选C.由框图可知n=2009时输出结果,由于f1(x)=sinx+cosxf2(x)=-sinx+cosxf3(x)=-sinx-cosxf4(x)=sinx-cosxf5(x)=sinx+cosx,…,

所以f2009(x)=f4×501+5(x)=sinx+cosx=sin(x+).

试题详情

3.(2008年高考宁夏、海南卷)如下图所示的程序框图,如果输入三个实数abc,要求输出这三个数中最大的数,那么在空白的判断框中,应该填入下面四个选项中的( )

A.c>x              B.x>c

C.c>b             D.b>c

解析:选A.根据程序框图判断,在空白的判断框内填入c>x?.故选A.

试题详情

2.下面的程序框图能判断任意输入的数x的奇偶性.

其中判断框内的条件是( )

A.m=0?       B.m=1?

C.x=0?          D.x=1?

解析:选B.由程序框图所体现的算法可知判断一个数是奇数还是偶数,看这个数除以2的余数是1还是0.由图可知应该填m=1?.

试题详情

1.如果一个算法的程序框图中有◇,则表示该算法中一定有哪种逻辑结构( )

A.循环结构和条件结构

B.条件结构

C.循环结构

D.顺序结构和循环结构

解析:选B.因为◇表示判断框,所以一定有条件结构.

试题详情

6.画出计算1+++…+的程序框图.

解:程序框图如下:

练习

试题详情

5.某算法的程序框图如下图所示,则输出量y与输入量x满足的关系式是________.

解析:由题意知,程序框图表达的是一个分段函数

y

答案:y

试题详情

4.(原创题)如图是一个算法的程序框图,当输入的x的值为5时,其输出的结果是________.

解析:x=5>0,xx-3=5-3=2>0,xx-3=2-3=-1<0,故输出y=0.51=()1=2.

答案:2

试题详情


同步练习册答案