题目列表(包括答案和解析)

 0  55466  55474  55480  55484  55490  55492  55496  55502  55504  55510  55516  55520  55522  55526  55532  55534  55540  55544  55546  55550  55552  55556  55558  55560  55561  55562  55564  55565  55566  55568  55570  55574  55576  55580  55582  55586  55592  55594  55600  55604  55606  55610  55616  55622  55624  55630  55634  55636  55642  55646  55652  55660  447348 

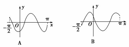
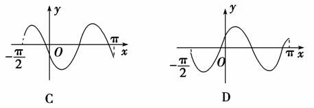
2.函数y=sin(2x-)在区间[-,π]上的简图是( )

解析:选A.令x=0得y=sin(-)=-,淘汰B,D.由f(-)=0,f()=0,淘汰C,故选A.

试题详情

1.(2009年高考天津卷)已知函数f(x)=sin(ωx+)(x∈R,ω>0)的最小正周期为π,为了得到函数g(x)=cosωx的图象,只要将yf(x)的图象( )

A.向左平移个单位长度

B.向右平移个单位长度

C.向左平移个单位长度

D.向右平移个单位长度

解析:选A.因为T=π,则ω==2,f(x)=sin(2x+),g(x)=cos2x,将yf(x)的图象向左平移个单位长度时,y=sin[2(x+)+]=sin(2x+)=cos2x.

试题详情

6.已知函数f(x)=sin2ωx+sinωxsin(ωx+)+2cos2ωxx∈R(ω>0),在y轴右侧的第一个最高点的横坐标为.

(1)求f(x)的对称轴方程;

(2)求f(x)的单调递增区间.

解:(1)f(x)=sin2ωx+cos2ωx+

=sin(2ωx+)+.

令2ωx+=,将x=代入可得:ω=1,

f(x)=sin(2x+)+,

对称轴方程为2x+=kπ+(k∈Z),

xkπ+(k∈Z).

(2)由2kπ-≤2x+≤2kπ+(k∈Z)可得

单调增区间为[kπ-,kπ+](k∈Z).

练习

试题详情

5.(2009年高考宁夏海南卷)已知函数f(x)=2sin(ωx+φ)的图象如下图所示,则f()=________.

解析:由图象知,函数的周期T满足×T=π,∴T=.

f()=0,

f()=f(+)

f(+)=-f()=0.

答案:0

试题详情

4.(原创题)设函数y=cosπx的图象位于y轴右侧所有的对称中心从左到右依次为A1A2,…,An,…,则A10的坐标是________.

解析:对称中心横坐标为x=2k+1,k≥0,令k=9得x=19.

答案:(19,0)

试题详情

3.函数f(x)=3sin(2x-)的图象为C,下列结论中正确的是( )

A.图象C关于直线x=对称

B.图象C关于点(-,0)对称

C.函数f(x)在区间(-,)内是增函数

D.由y=3sin2x的图象向右平移个单位长度可以得到图象C

解析:选C.选项A错误,由于f()=0≠±3,故A错.选项B错误,由于正弦类函数图象的对称点是图象的平衡点,因为f(-)=3sin(-2×-)=-,所以(-,0)不在函数图象上.此函数图象不关于这点对称,故B错误.选项C正确,令u=2x-,当-<x<时,-<u<,由于y=3sinu在(-,)上是增函数,所以选项C正确.选项D错误,由于y=3sin2x的图象向右平移个单位得y=3sin2(x-)即y=3sin(2x-)的图象而不是图象C.综上,本题选C.

试题详情

2.(2009年高考湖南卷)将函数y=sinx的图象向左平移φ(0≤φ<2π)个单位后,得到函数y=sin(x-)的图象,则φ等于( )

A.              B.

C.             D.

解析:选D.将函数y=sinx向左平移φ(0≤φ<2π)个单位得到函数y=sin(x+φ).在A、B、C、D四项中,只有φ=π时有y=sin(x+π)=sin(x-).

试题详情

1.(2008年高考全国卷Ⅱ)若动直线xa与函数f(x)=sinxg(x)=cosx的图象分别交于MN两点,则|MN|的最大值为( )

A.1              B.

C.              D.2

解析:选B.|MN|=|sina-cosa|=,

∴|MN|max=,故选B.

试题详情

8.已知函数f(x)=2sinωx(ω>0)在区间[-,]上的最小值是-2,则ω的最小值等于________.

解析:由题意知≤,T=,∴2ω≥3,ω≥,

ω的最小值等于.

试题详情

7.函数y=lgsinx+ 的定义域为________.

解析:(1)要使函数有意义必须有,

即,

解得(k∈Z),

∴2kπ<x≤+2kπ,k∈Z,

∴函数的定义域为{x|2kπ<x≤+2kπ,k∈Z}.

答案:{x|2kπ<x≤+2kπ,k∈Z}

试题详情


同步练习册答案