题目列表(包括答案和解析)

 0  93910  93918  93924  93928  93934  93936  93940  93946  93948  93954  93960  93964  93966  93970  93976  93978  93984  93988  93990  93994  93996  94000  94002  94004  94005  94006  94008  94009  94010  94012  94014  94018  94020  94024  94026  94030  94036  94038  94044  94048  94050  94054  94060  94066  94068  94074  94078  94080  94086  94090  94096  94104  447348 

1.已知,则 (  )

  A.       B.     C.      D.

试题详情

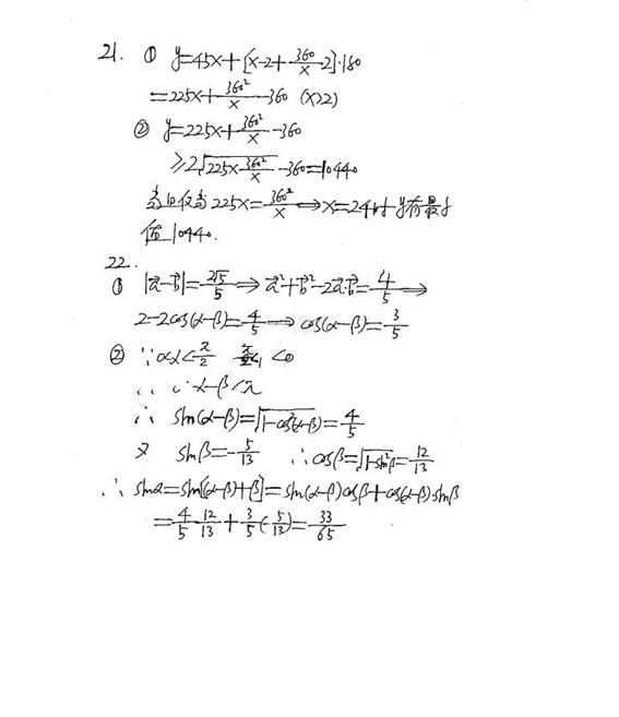
22.(本小题满分15分)

    已知:向量

    (1)求:的值;

    (2)若,且,求:的值。

试题详情

21.(本题满分14分)

  围建一个面积为360m2的矩形场地,要求矩形场地的一面利用旧墙(利用旧墙需维修),其它三面围墙要新建,在旧墙的对面的新墙上要留一个宽度为2m的进出口,已知旧墙的维修费用为45元/m,新墙的造价为180元/m,设利用的旧墙的长度为x m,围墙的总费用为y元

(Ⅰ)将y表示为x的函数:

(Ⅱ)试确定x,使修建此矩形场地围墙的总费用最小,并求出最小总费用。

试题详情

20.(本题14分)        

,xy=2,若x+y-k≥0对任意、恒成立,求实数k的取值范围

试题详情

19.(本题满分14分)

    已知:函数

    (1)求:f(x)的值域及最小正周期;

    (2)求:f(x)的单调减区间;

    (3)若,求:sin2x的值。

试题详情

18.(本题14分)在锐角三角形中,边a、b是方程x2-2x+2=0的两根,角A、B满足:2sin(A+B)-=0,

求角C的度数,边c的长度及△ABC的面积。

试题详情

17.(本题满分14分)

    已知:向量

    (1)当时,求:x的值;

    (2)求:函数的最大值。

试题详情

16.若,若的夹角为30°,=_______。

试题详情

15.若,则p,q的大小关系是     

试题详情

14.定义在R上的函数既是偶函数又是周期函数,若f(x)的最小正周期为,且当时,,则的值为_____________________。

试题详情


同步练习册答案