0  158760  158768  158774  158778  158784  158786  158790  158796  158798  158804  158810  158814  158816  158820  158826  158828  158834  158838  158840  158844  158846  158850  158852  158854  158855  158856  158858  158859  158860  158862  158864  158868  158870  158874  158876  158880  158886  158888  158894  158898  158900  158904  158910  158916  158918  158924  158928  158930  158936  158940  158946  158954  447090 

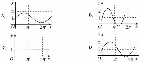
8.已知是实数,则函数的图象不可能

试题详情

7.设向量满足:,以的模为边长构成三角形,则它的边与半径为1的圆的公共点个数最多为

    A.3               B.4               C.5               D.6

试题详情

6.某程序框图如图所示,该程序运行后输出的的值是

A.4               B.5               C.6               D.7

试题详情

5.在三棱柱ABC-A1B1C1中,各棱长相等,侧棱垂直于底面,点D是侧面BB1C1C的中心,则AD与平面BB1C1C所成角的大小是

A.30°       B.45°       C.60°       D.90°

试题详情

4.在二项式的展开式中,含的项的系数是

    A.-10            B.10              C.-5             D.5

试题详情

3.设(是虚数单位),则

A.              B.

C.                D.

试题详情

2.已知是实数,则“”是“”的

    A.充分而不必要条件                   B.必要而不充分条件

C.充分必要条件                      D.既不充分也不必要条件

试题详情

1.设U=R,A=,B=,则A∩B=

    A.     B.     C.       D.

试题详情

23.(本题满分10分)

对于正整数,用表示关于的一元二次方程有实数根的有序数组(a,b)的组数,其中(a和b可以相等);对于随机选取的(a和b可以相等),记为关于的一元二次方程有实数根的概率。

(1)求

(2)求证:对任意正整数,有

试题详情

22.(本小题满分10分)

  在平面直角坐标系中,抛物线C的顶点在原点,经过点A(2,2),其焦点F在x轴上。

(1)求抛物线C的标准方程;

(2)求过点F,且与直线OA垂直的直线的方程;

(3)设过点M(m,0)(m>0)的直线交抛物线C于D,E两点,ME=2DM,记D和E两点间的距离为,求关于m的表达式。

试题详情


同步练习册答案