0  174104  174112  174118  174122  174128  174130  174134  174140  174142  174148  174154  174158  174160  174164  174170  174172  174178  174182  174184  174188  174190  174194  174196  174198  174199  174200  174202  174203  174204  174206  174208  174212  174214  174218  174220  174224  174230  174232  174238  174242  174244  174248  174254  174260  174262  174268  174272  174274  174280  174284  174290  174298  447090 

29.Inorganic Syntheses一书中,有一如图所示的装置,用以制备某种干燥的纯净气体。该装置中所装的药品正确的是                                  (   )

   A.A中装浓硫酸,B中装浓盐酸

   B.A中装浓盐酸,B中装浓硫酸

   C.A中装氢氧化钠浓溶液,B中装浓氨水

   D.A中装浓氨水,B中装氢氧化钠浓溶液

试题详情

28.下列事实中,与胶体有关的是                                 (   )

    ①水泥的硬化                      ②用盐卤点豆腐

    ③用FeCl3净水                     ④河,海交汇处易成沙洲

    ⑤制肥皂时在混合物中加饱和NaCl析出肥皂

    ⑥一支钢笔同时使用两种牌子的蓝黑墨水易发生堵塞

    ⑦在水泥、冶金工厂常用高压电除去大量烟尘,减少对空气的污染

  A.除③⑤       B.除①③⑥     C.除①④⑤       D.全部都是

试题详情

27.印染工业常用亚氯酸钠(NaClO2)漂白织物,亚氯酸钠在溶液中可生成ClO2、HClO2、ClO2-,其中HClO2是漂白剂的有效成分,ClO2是有毒气体。各组分含量随pH变化情况如图所示,由图知,使用该漂白剂的最佳pH为             (   )

    A.<3.0          B.4.0-4.5        C.6.5-7.0       D.>9.0

试题详情

26.0.1mol/L KHSO4溶液与0.1mol/L Na2S溶液等体积混合后,溶液能使pH试纸变蓝,则离子浓度关系正确的是                       (   )

A.c(Na+)+c(K+)+c(H+)= c(SO42-)+2c(S2-)+c(HS-)+c(OH-)

B.c(SO42-)>c(HS-)>c(OH-)>c(H+)

C.c(Na+)>c(K+)>c(H+)>c(OH-)

D.c(Na+)=c(S2-)+c(HS-)+c(H2S)+c(SO42-)

试题详情

25.二种短周期元素组成的化合物中,原子个数比为1︰3,若二种元素的原子序数分别为a和b,则对下列a、b的关系的判断正确的是:                    (   )

①a=b-4  ②a=b+8  ③a=b-2 ④ a+b=8  ⑤ a+b=7   ⑥a+b=30

A.都有可能                  B.只有⑤不可能

C.只有④⑥不可能                D.只有③⑤不可能

试题详情

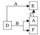
24.以下物质间的相互转化关系中(如图),A、B、C是常见的金属或非金属单质,D、E、F是常见的三种氧化物,常温下,D、E呈气态,F呈固态。下列推断正确的是(   )

   A.E和D中一定有A元素           B.A一定是金属单质

   C.单质B肯定是氧化剂            D.C一定是氧气

试题详情

23.往含0.2 molNaOH和0.1 molBa(OH)2的溶液中持续稳定地通入CO2气体,当通入气体的体积为6.72L(标况下)时立即停止,则在这一过程中,溶液中离子总的物质的量和通入CO2气体的体积关系正确的图象是(气体的溶解忽略不计)                 (   )

         A          B          C          D

试题详情

22.已知,现把等物质的量的CuSO4、FeCl3和Zn置于水中,充分反应后,反应器中所得的混合物中除SO42-和Cl-外,还有

                                                                (   )

     A.只含有Zn2+、Cu、Fe2+            B.只含有Zn2+、Cu2+、Fe2+

     C.Zn2+、Cu2+、Fe2+、Fe            D.Zn2+、Cu2+、Fe2+、Cu

试题详情

21.若pH=3的酸溶液和pH=11的碱溶液等体积混合后溶液呈酸性,则可能的原因是(   )

A.生成了一种强酸弱碱盐         B.弱酸和强碱的反应

C.强酸和弱碱的反应             D.弱酸和弱碱的反应

试题详情

20.下列各组物质的稀溶液发生反应,无论是前者滴入后者,还是后者滴入前者,反应现象都相同的是                           (   )

    A.NaHSO4和Ba(OH)2           B.AlCl3和NaOH

    C.NaAlO2和H2SO4               D.Ba(HCO3)2 和Ba(OH)2

试题详情


同步练习册答案